“微信扫一扫”进入"可可试卷"微信小程序刷题
第881题
属于苯并硫氮䓬类钙拮抗剂的是
A.维拉帕米
B.胺碘酮
C.普罗帕酮
D.尼莫地平
E.地尔硫䓬
参考答案:E
解析:
本题考查的是苯硫氮䓬类抗心绞痛药。
维拉帕米是芳烷基胺类钙拮抗剂;尼莫地平为二氢吡啶类钙拮抗剂;地尔硫䓬苯并硫氮䓬类钙拮抗剂;胺碘酮为钾通道阻滞剂;普罗帕酮为钠通道阻滞剂。
第882题
下列叙述中与地尔硫䓬不符的是
A.属于苯硫氮䓬类钙通道阻滞药
B.分子结构中有两个手性碳原子,临床使用(2S,3S)-异构体
C.口服吸收完全,且无首关效应
D.体内主要代谢途径为脱乙酰基、N-脱甲基和O-脱甲基
E.临床用于治疗冠心病中各型心绞痛,也有减缓心率的作用
参考答案:C
解析:
本题考查的是地尔硫䓬的结构特征、代谢、临床用途。
地尔硫䓬口服吸收迅速完全,但有较高的首关效应,导致生物利用度下降,大约为25%~60%左右。
第883题
地尔硫䓬在体内主要的代谢反应有
A.N-脱甲基
B.O-脱甲基
C.S-氧化
D.C-氧化
E.脱乙酰基
参考答案:ABE
解析:
本题考查的是地尔硫䓬体内代谢。
地尔硫䓬口服吸收迅速完全,但有较高的首关效应,导致生物利用度下降,大约为25%~60%左右,体内有效期为6~8小时。地尔硫䓬经肝肠循环,主要代谢途径为脱乙酰基、N-脱甲基和O-脱甲基化。去乙酰基地尔硫䓬保持了母体冠状血管扩张作用的25%~50%,并且达到母体血药浓度的10%~45%。其结构式及发生代谢的官能团如图所示:

第884题
有关
,下列说法错误的是
A.含4-羟基香豆素基本结构的香豆素类抗凝血药物
B.能抑制维生素K环氧还原酶,阻止维生素K由环氧型向氢醌型转变,从而影响凝血因子Ⅱ、Ⅶ、Ⅸ、Ⅹ的活性
C.与其药理活性及作用机制类似的还有双香豆素和醋硝香豆素
D.结构中含有一个手性碳,S-异构体的抗凝活性是R-异构体的4倍,体内的代谢因构型不同而有所区别
E.与其他药物共用时药物间的相互作用较少
参考答案:E
解析:
本题考查的是华法林的结构特点、临床用途及药物间的相互作用。
题干给出结构式为华法林;华法林在体内主要经肝脏CYP450酶代谢,故能够抑制CYP活性的药物(如甲硝唑、氯霉素、西咪替丁、奥美拉唑和选择性5-羟色胺再摄取抑制药等)均可使本品的代谢减慢,半衰期延长,抗凝作用加强,因此,使用本品时应注意其与其他药物的相互作用。
第885题
华法林结构中含有手性碳,其两个异构体在体内经历不同的代谢过程得到不同的产物。其S-异构体经代谢得到的主要产物是
A.

B.

C.

D.

E.

参考答案:A
解析:
本题考查的是华法林的结构及代谢。
华法林代谢因构型不同而有所区别,而S-异构体则在母核7位上进行羟化,代谢产物进入胆汁,随粪便排出体外。

【考点延展】
R-异构体经丙酮侧链还原而代谢,代谢物主要经尿液排泄。

第886题
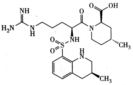
阿加曲班(结构如下)为凝血酶抑制药类抗凝药,其结构中含有的基团有
A.精氨酸
B.哌啶羧酸
C.四氢喹啉
D.苯并噻嗪
E.脯氨酸
参考答案:ABC
解析:
本题考查的是阿加曲班的结构特征。
阿加曲班化学结构中包含精氨酸、哌啶和四氢喹啉的三脚架结构,与凝血酶的活性部位形成立体型的结合,可逆性地阻断凝血酶的催化位点和非极性区,从而阻止凝血酶在血栓形成过程中发挥作用。其相应结构片段如图所示。

第887题
属于凝血酶抑制药的抗凝药物有
A.华法林
B.达比加群酯
C.阿加曲班
D.阿哌沙班
E.利伐沙班
参考答案:BC
解析:
本题考查的是抗血栓药物的分类及代表药物。
达比加群酯、阿加曲班属于凝血酶抑制药;华法林属于香豆素类抗凝药;阿哌沙班、利伐沙班属于凝血因子Xa抑制药。
【考点延展】
(1)抗凝药物包括:
①香豆素类:华法林、双香豆素、醋硝香豆素;②凝血酶抑制药包括:达比加群酯、阿加曲班;③凝血因子Xa抑制药包括:阿哌沙班、利伐沙班。
(2)血小板二磷酸腺苷受体阻断药主要包括:氯吡格雷、噻氯匹定、普拉格雷、坎格雷洛和替卡格雷。
(3)糖蛋白GPⅡb/Ⅲa受体阻断药主要包括:阿昔单抗、依替巴肽、替罗非班。
第888题
原形无效,需经代谢后产生活性的药物是
A.甲苯磺丁脲
B.普萘洛尔
C.氯吡格雷
D.地西泮
E.丙米嗪
参考答案:C
解析:
本题考查的是血小板二磷酸腺苷受体阻断药。
氯吡格雷有一个手性碳原子,为S-构型,本品体外无活性,为前药。口服后经CYP450酶系转化,再经水解形成噻吩环开环的活性代谢物。活性代谢物的巯基可与血小板ADP受体中的半胱氨酸残基形成二硫键,拮抗血小板ADP受体,从而抑制ADP诱导的血小板膜表面糖蛋白GPⅡb/Ⅲa受体的活化,导致纤维蛋白原无法与该受体发生粘连而抑制血小板聚集。
第889题
关于硫酸氯吡格雷,下列说法正确的是
A.是血小板二磷酸腺苷受体阻断药类抗凝药物
B.有一个手性中心,药用品为S-构型
C.代谢后失去活性
D.可以抑制血栓素合成酶
E.还可以进一步抑制ADP诱导的血小板膜表面糖蛋白GPⅡb/Ⅲa受体的活化
参考答案:ABE
解析:
本题考查的是氯吡格雷的结构特征、作用机制、代谢。氯吡格雷是血小板二磷酸腺苷受体阻断药;有一个手性中心,药用品为S-构型;为前药,口服后经CYP450酶系转化,再经水解形成噻吩环开环的活性代谢物,活性代谢物的巯基可与血小板ADP受体中的半胱氨酸残基形成二硫键,拮抗血小板ADP受体,从而抑制ADP诱导的血小板膜表面糖蛋白GPⅡb/Ⅲa受体的活化,导致纤维蛋白原无法与该受体发生粘连而抑制血小板聚集;临床主要用于预防缺血性脑卒中、心肌梗死及外周血管病等。氯吡格雷的结构及其活性代谢物如图所示:

第890题
在氢化可的松结构基础上,1位引入双键,得到药物氢化泼尼松,由于A环几何形状从半椅式变为A平船式构象,其药理作用的变化是
A.抗炎活性增大,水钠潴留作用增强
B.抗炎作用增大,不增加水钠潴留作用
C.抗炎作用不变,水钠潴留作用降低
D.抗炎作用降低,水钠潴留作用增加
E.抗炎作用降低,水钠潴留作用降低
参考答案:B
解析:
本题考查的是糖皮质激素类药物。
在醋酸氢化可的松分子中引入C1、C2双键,称为醋酸氢化泼尼松,其抗炎活性增大4倍,不增加钠潴留作用。抗炎活性增加的原因可能是由于A环几何形状改变所致,从半椅式变为平船式构象,增加了与受体的亲和力和改变了药代动力学性质。
第892题
甾类药物的基本母核可分为
A.雌甾烷类
B.胆甾烷类
C.孕甾烷类
D.蛋白同化激素类
E.雄甾烷类
参考答案:ACE
解析:
本题考查的是甾体激素类药物。
甾体激素类药物的基本母核主要有:孕甾烷、雄甾烷和雌甾烷。
第893题
泼尼松的化学结构是
A.

B.

C.

D.

E.

参考答案:D
解析:
本题考查肾上腺糖皮质激素药物的化学结构。
是氢化可的松的化学结构;
是氢化泼尼松的化学结构;
是曲安奈德的化学结构;
是泼尼松的化学结构;
是丙酸睾酮的化学结构。
第894题 对糖皮质激素结构与活性关系描述错误的是
A.对21位羟基的酯化修饰,可改变药物的理化性质或稳定性
B.在1-2位脱氢,可使抗炎作用增大,而钠潴留作用不变
C.在9α位引入氟,抗炎作用增大,但盐代谢作用不变
D.在6位引入氟,抗炎作用增大,钠潴留作用增加
E.在16位、17位的羟基与丙酮缩合为缩酮,增加疗效
参考答案:C
解析:
本题考查的是糖皮质激素类药物的结构修饰与构效关系。
C-9位的修饰:在糖皮质激素的9α位引入氟原子,其抗炎作用明显增加,但盐代谢作用的增加更大。
第895题 曲安奈德的结构类型是
A.雌甾烷类
B.雄甾烷类
C.二苯乙烯类
D.黄酮类
E.孕甾烷类
参考答案:E
解析:
本题考查的是曲安奈德的结构。
肾上腺皮质激素类药,用于神经性皮炎、湿疹、牛皮癣、关节痛、支气管哮喘等病症。结构中有孕甾烷母核。
第896题
分子中存在具有活性的17位17β-羧酸酯,水解成17β-羧酸则不具活性,可吸人给药治疗哮喘,避免产生全身性作用的药物是
A.

B.

C.

D.

E.

参考答案:D
解析:
本题考查的是糖皮质激素类药物。
提示药物具有17位β-羧酸酯,是17β-羧酸与硫醇形成的硫醇酯,水解后生成17β-羧酸则不具活性。
第897题
地塞米松是在氢化可的松结构基础上,引入了1,2-双键、9α-F、16α-CH3,据此推测,地塞米松的结构式是
A.

B.

C.

D.

E.

参考答案:C
解析:
本题考查的是糖皮质激素类药物。
本题注意解题技巧,五个选项均有1,2-双键,不能据此作出判断。
、
、
具有9α-F,排除
、
。
、
具有16-甲基,
16位为缩酮结构,可排除
,仅剩下
、
两个答案供选择。药物结构中化学键用粗实线(
)标示的,为β取向化学键,用粗虚线(
)标示的,为α取向化学键,
同时满足上述三个条件。

第898题 通过哪些途径可以增强糖皮质激素的抗炎作用
A.去掉10位的角甲基
B.9α位引入氟原子
C.将21位羟基成醋酸酯
D.16α位引入甲基
E.1,2位引入双键
参考答案:BDE
解析:
本题考查的是糖皮质激素的构效关系。
通过以下途径可以增强糖皮质激素的抗炎作用:C-1,2脱氢;9α位引入氟原子;16α位引入甲基。
第899题
吸入给药治疗哮喘,可避免产生全身性作用的糖皮质激素类药物是
A.丙酸氟替卡松
B.醋酸氟轻松
C.曲安西龙
D.氢化可的松
E.可的松
参考答案:A
解析:
本题考查的是糖皮质激素类药物。
糖皮质激素类药物作用广泛,但全身不良反应多,临床使用必须严格掌握适应症和给药剂量、给药方案。丙酸氟替卡松经吸入给药可用于哮喘,水解后失活,可避免全身不良反应。
第900题
在氢化可的松结构上,将6α、9α位引入氟原子,在16、17α位引入缩酮结构,并将21位羟基乙酯化后,全身副作用明显,仅供外用的糖皮质激素类药物是
A.

B.

C.

D.

E.

参考答案:A
解析:
本题考查的是糖皮质激素类药物。
C16位引入羟基并与C17位α-羟基一道制成丙酮的缩酮,备选项中符合条件的是A选项。A选项是醋酸氟轻松的结构式,该药仅供外用。
