“微信扫一扫”进入"可可试卷"微信小程序刷题
A.药品
B.药品名称
C.药品通用名
D.药品商品名
E.药品化学名
参考答案:C
解析:
本题考查的是药物的通用名。
按中国国家药典委员会药品命名原则制定的药品名称是通用名。
【考点延展】
药物的名称包括药物的通用名、化学名和商品名。
1.药物的商品名:①商品名通常针对最终产品,剂型、剂量确定。②不同企业生产的药品具有不同的商品名,代表企业形象和产品的声誉,不得冒用。③商品名同商标一样可以注册和申请专利保护。
2.药品的通用名:①也称国际非专利药品名称(INN),世界卫生组织(WHO)推荐使用。②INN通常指有活性的药物物质,而非最终药品。③一个药物只有一个通用名,新药申请过程中向世界卫生组织提出,不受专利保护,不能与已有名称相同,不能与商品名近似。④药典中使用的名称,尽量与英文名对应,多采用音译。药品通用名也是药典中使用的名称。
3.药物的化学名:①标明药品化学结构的名称。②依据:国际纯化学和应用化学会(IUPAC)、中国化学会、美国化学文献(CA)的原则。③命名原则:选取特定的部分作为母体,规定母体的位次编排法,其他部分视为取代基,手性化合物规定立体构型或几何构型。
第2题
根据其化学结构式命名是
A.药品
B.药品名称
C.药品通用名
D.药品商品名
E.药品化学名
参考答案:E
解析:
本题考查的是药物的化学名。
根据其化学结构式命名是化学名。
【考点延展】
药物的名称包括药物的通用名、化学名和商品名。
(1)药物的商品名
①商品名通常针对最终产品,剂型、剂量确定。②不同企业生产的药品具有不同的商品名,代表企业形象和产品的声誉,不得冒用。③商品名同商标一样可以注册和申请专利保护。
(2)药品的通用名
①也称国际非专利药品名称(INN),世界卫生组织(WHO)推荐使用。②INN通常指有活性的药物物质,而非最终药品。③一个药物只有一个通用名,新药申请过程中向世界卫生组织提出,不受专利保护,不能与已有名称相同,不能与商品名近似。④药典中使用的名称,尽量与英文名对应,多采用音译。药品通用名也是药典中使用的名称。
(3)药物的化学名
①标明药品化学结构的名称。②依据:国际纯化学和应用化学会(IUPAC)、中国化学会、美国化学文献(CA)的原则。③命名原则:选取特定的部分作为母体,规定母体的位次编排法,其他部分视为取代基,手性化合物规定立体构型或几何构型。
第3题
氯丙嗪的化学名是
A.1-环丙基-6-氟-1,4-二氢-4-氧代-7-(1-哌嗪基)-3-喹啉羧酸
B.1-甲基-5-苯基-7-氯-1,3-二氢-2H-l,4-苯并二氮杂-2-酮
C.11β,17α,21-三羟基孕甾-4-烯-3,20-二酮
D.N,N一二甲基-2-氯-10H-吩噻嗪-10-丙胺
E.9-(2-羟乙氧甲基)鸟嘌呤
参考答案:D
解析:
本题考查的是药物化学名。
化学名在药物化学中属于难度较高的知识点,故掌握解题技巧、抓住出题方式很重要,尤其是在无法记住完整化学名的时候,方法显得更加重要。化学名中含有药物的母核名称,所以掌握化学名的前提是掌握母核。氯丙嗪的母核是吩噻嗪,含有吩噻嗪的选项为正确选项。
第4题
关于药品命名的说法,不正确的是
A.药物的名称包括药物的通用名,化学名和商品名
B.商品名可以进行注册和申请专利保护
C.药品的商品名通常是指剂量和剂型已确定的最终产品
D.通用名是指有活性的药物物质,而不是最终的药品
E.化学名也称为国际非专利药品名称
参考答案:E
解析:
本题考查的是药物命名。
通用名也称为国际非专利药品名称。
【考点延展】

第5题
关于药品命名的说法,不正确的是
A.药物的名称包括药物的通用名,化学名和商品名
B.商品名可以进行注册和申请专利保护
C.药品的商品名通常是针对药物的最终产品
D.通用名通常是指有活性的药物物质
E.化学名也称为国际非专利药品名称
参考答案:E
解析:
本题考查的是药物命名。
通用名也称为国际非专利药品名称。
【考点延展】

第6题
N-(4-羟基苯基)乙酰胺
A.药品通用名
B.化学名
C.拉丁名
D.商品名
E.俗名
参考答案:B
解析:
本题考查的是药物命名。
药物的化学名是根据其化学结构式来进行命名的。药品通用名通常是指有活性的药物物质,而不是最终的药品。药品的商品名通常是针对药物的最终产品,即剂量和剂型已确定的含有一种或多种药物活性成分的药物。N-(4-羟基苯基)乙酰胺是化学名。
A.A
B.B
C.C
D.D
E.E
参考答案:D
解析:
本题考查的是药物的来源与分类。
伊立替康为天然产物喜树碱衍生物,贝伐珠单抗为抗体类药物,属于生物技术手段获得的药物,伊马替尼是合成的蛋白酪氨酸激酶抑制剂,以上三个药物均具有抗肿瘤活性;吗啡来源于天然产物,具有镇痛活性;洛伐他汀属于微生物代谢物,具有降血脂的作用,不符合题干要求。
A.A
B.B
C.C
D.D
E.E
参考答案:E
解析:
本题考查的是药物的来源与分类。
伊立替康为天然产物喜树碱衍生物,贝伐珠单抗为抗体类药物,属于生物技术手段获得的药物,伊马替尼是合成的蛋白酪氨酸激酶抑制剂,以上三个药物均具有抗肿瘤活性;吗啡来源于天然产物,具有镇痛活性;洛伐他汀属于微生物代谢物,具有降血脂的作用,不符合题干要求。
第10题
属于化学合成类药物,具有抗肿瘤活性的是
A.A
B.B
C.C
D.D
E.E
参考答案:A
解析:
本题考查的是药物的来源与分类。
伊立替康为天然产物喜树碱衍生物,贝伐珠单抗为抗体类药物,属于生物技术手段获得的药物,伊马替尼是合成的蛋白酪氨酸激酶抑制剂,以上三个药物均具有抗肿瘤活性;吗啡来源于天然产物,具有镇痛活性;洛伐他汀属于微生物代谢物,具有降血脂的作用,不符合题干要求。
第11题
氯丙嗪的化学结构名(选项是结构名称)是
A.2-氯-N、N-二甲基-10H-苯并哌唑-10-丙胺
B.2-氯-N、N-二甲基-10H-苯并噻唑-10-丙胺
C.2-氯-N、N-二甲基-10H-吩噻嗪-10-丙胺
D.2-氯-N、N-二甲基-10H-噻嗪-10-丙胺
E.2-氯-N、N-二甲基-10H-哌嗪-10-丙胺
参考答案:C
解析:
本题考查的是氯丙嗪的母核结构。
氯丙嗪属吩噻嗪类抗精神病药,母核结构为吩噻嗪。

第12题
下面含有1,4-二氢吡啶母核结构的药物是
A.
氨苄西林

B.
环丙沙星

C.
尼群地平

D.
格列本脲

E.

参考答案:C
解析:
本题考查的是药物的母核结构。
地平类药的母核结构是1,4-二氢吡啶,西林类药的母核结构是β-内酰胺,沙星是喹啉酮类,格列是磺酰脲类,洛韦是鸟嘌呤结构。
第13题
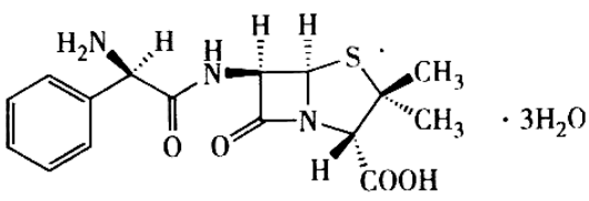
某药物化学名是6-[D-(-)-2-氨基-苯乙酰氨基]青霉烷酸三水合物,其对应的化学结构式为
A.

B.

C.

D.

E.

参考答案:A
解析:
本题考查的是药物化学名。
题干的化学名中含有“青霉烷酸”,说明是青霉素类药物,该类药物的母核是β-内酰胺环,故正确答案是A。涉及这种考法的题目,首先要求能掌握母核名称,并能识别出母核结构。
第14题
属于生物制品的有
A.抗体
B.抗生素
C.半合成抗生素
D.疫苗
E.寡核苷酸
参考答案:ADE
解析:
本题考查的是药物的来源与分类。
生物技术药物包括细胞因子、重组蛋白质药物、抗体、疫苗和寡核苷酸药物等。抗生素和半合成抗生素属于化学药范畴。
【考点延展】

A.药物剂型
B.药物制剂
C.药剂学
D.调剂学
E.方剂
参考答案:A
解析:
本题考查的是药物剂型的概念。
任何药物在供给临床使用前,均必须制成适合于医疗和预防应用的形式,这种形式称为药物的剂型。
第16题
下列关于剂型的表述错误的是
A.剂型系指为适应治疗或预防的需要而制备的不同给药形式
B.同一种剂型可以有不同的药物
C.同一药物也可制成多种剂型
D.剂型系指某一药物的具体品种
E.阿司匹林片、对乙酰氨基酚片、麦迪霉素片、尼莫地平片等均为片剂剂型
参考答案:D
解析:
本题考查的是剂型的概念。
药物在临床应用之前,都必须制成适合于医疗或预防应用的形式,以充分发挥药效、减少毒副作用、便于运输、使用与保存。这种适合于疾病的诊断、治疗或预防的需要而制备的不同给药形式,称为药物剂型,简称剂型,如片剂、胶囊剂、注射剂等。同一药物可制成多种剂型,同一种剂型可以有不同的药物。
药物制剂系指将原料药物按照某种剂型制成一定规格并具有一定质量标准的具体品种,简称制剂。
第17题
根据药典等标准、为适应治疗或预防的需要而制备的药物应用形式的具体品种称为
A.药物剂型
B.药物制剂
C.药剂学
D.调剂学
E.方剂
参考答案:B
解析:
药物制剂系指将原料药物按照某种剂型制成一定规格并具有一定质量标准的具体品种,简称制剂。根据制剂命名原则,制剂名=药物通用名+剂型名,如维生素C片、阿莫西林胶囊、鱼肝油胶丸等。在各种剂型中都包含有许多不同的具体品种,这些品种都是根据药典或药政管理部门批准的标准、为适应治疗或预防的需要而制成的药物应用形式的具体品种。
第18题
下列属于制剂的是
A.青霉素V钾片
B.红霉素片
C.甲硝唑注射液
D.维生素C注射液
E.软膏剂
参考答案:ABCD
解析:
本题考查的是剂型与制剂的概念。
适合于疾病的诊断、治疗或预防的需要而制备的不同给药形式,称为药物剂型,简称剂型,如片剂、胶囊剂、注射剂等。
药物制剂系指将原料药物按照某种剂型制成一定规格并具有一定质量标准的具体品种,简称制剂
第19题
根据药典等标准,为适应治疗或预防的需要而制备的药物应用形式的具体品种称为
A.A
B.B
C.C
D.D
E.E
参考答案:B
解析:
本题考查的是药物剂型和制剂的概念。
药物制剂:原料药按某种剂型制成一定规格且有一定质量标准的具体品种。
制剂名=药物通用名+剂型名,如维生素C片、阿莫西林胶囊、鱼肝油胶丸等。
【考点延展】

A.A
B.B
C.C
D.D
E.E
参考答案:A
解析:
本题考查的是药物剂型和制剂的概念。
药物剂型:用于疾病的诊断、治疗或预防的需要而制备的不同给药形式。如片剂、胶囊剂、注射剂等
【考点延展】
