“微信扫一扫”进入"可可试卷"微信小程序刷题

【新】执业药师《药学专业知识一》题库(2323题)


第821题

下列叙述中与胺碘酮不符的是


A.钾通道阻滞药类抗心律失常药

B.属苯并呋喃类化合物

C.其主要代谢物为N-脱乙基胺碘酮,也具有相似的电生理活性

D.胺碘酮及其代谢物结构中含有碘原子,易于代谢

E.结构与甲状腺激素类似,含有碘原子,可影响甲状腺激素代谢


参考答案:D


解析:

本题考查的是胺碘酮的结构特征、代谢及临床用途。

胺碘酮口服吸收慢而多变,在肝脏代谢,其主要代谢物为N-脱乙基胺碘酮,也具有相似的电生理活性,两者均为高亲脂性化合物,可蓄积在多种器官和组织内。胺碘酮及其代谢物结构中含有碘原子,进一步代谢较困难,易于在体内产生积蓄,长期用药需谨慎。


第822题

含有咔唑结构和儿茶酚结构片段,具有阻断α、β受体作用,适用于有症状的心力衰竭及原发性高血压的药物是


A.A

B.B

C.C

D.D

E.E


参考答案:D


解析:

本题考查的是抗心律失常药物的结构及作用机制。

卡维地洛结构中有“咔”唑,对药名有暗示。


第823题

结构中含有两个甲基磺酰胺结构的钾通道阻滞药类抗心律失常药是


A.A

B.B

C.C

D.D

E.E


参考答案:C


解析:

本题考查的是抗心律失常药物的结构及作用机制。

伊布利特结构中仅有一个甲基磺酰胺结构,不符合要求。


第824题

下列药物中属于常用的钾通道阻滞药类抗心律失常药的有


A.胺碘酮

B.阿普洛尔

C.伊布利特

D.多非利特

E.硝酸甘油


参考答案:ACD


解析:

本题考查的是抗心律失常药的分类及代表药物。

阿普洛尔为非选择性β受体阻断药;硝酸甘油为常用治疗心绞痛药。


第825题

含苯乙醇胺类结构具有β受体和延长心肌动作电位的双重作用,脂溶性低,右旋体为Ⅱ类和Ⅲ类抗心律失常药的是


A.索他洛尔

B.伊布利特

C.多非利特

D.氧烯洛尔

E.吲哚洛尔


参考答案:A


解析:

本题考查的是抗心律失常药。

索他洛尔含苯乙醇胺类结构具有β受体和延长心肌动作电位的双重作用,脂溶性低,右旋体为Ⅱ类和Ⅲ类抗心律失常药,不良反应少。


第826题

按其药理作用机制,抗心律失常药物包含的类型有


A.钠通道阻滞药

B.β受体阻断药

C.延长动作电位时程药物,通常指钾通道阻滞药

D.钙通道阻滞药

E.AⅡ受体阻断药


参考答案:ABCD


解析:

本题考查的是抗心律失常药物的分类。

该类药物按其药理作用机制分为四类:

(1)Ⅰ类,钠通道阻滞药。

(2)Ⅱ类,β受体阻断药。

(3)Ⅲ类,延长动作电位时程药物,通常指钾通道阻滞药。

(4)Ⅳ类,钙通道阻滞药。


第827题

下列不属于抗心律失常药的分类是


A.钠通道阻滞药

B.钾通道阻滞药

C.钙通道阻滞药

D.α受体阻断药

E.β受体阻断药


参考答案:D


解析:

本题考查的是抗心律失常药的分类。

按其药理作用机制,分为四类:

Ⅰ类,钠通道阻滞药。

Ⅱ类,β受体阻断药。

Ⅲ类,延长动作电位时程药物,通常指钾通道阻滞药。

Ⅳ类,钙通道阻滞药。

Ⅰ、Ⅲ、Ⅳ类统称为作用于离子通道的抗心律失常药。


第828题

下列属于β受体阻断药的基本结构是


A.

B.

C.

D.

E.


参考答案:AB


解析:

本题考查β受体阻断药的基本结构。

β受体阻断药有两类基本结构,即芳氧丙醇胺类和苯乙醇胺类。


第829题

有关β受体阻断药,下列说法正确的有


A.有两类基本结构,即芳氧丙醇胺类和苯乙醇胺类

B.侧链上均含有带羟基的手性中心,是关键药效团

C.芳氧丙醇胺类和苯乙醇胺类药物都是S-构型活性大于R-构型

D.对芳环部分的要求不甚严格,可以是带有不同取代基的苯环、萘环、芳杂环或稠环等

E.氨基N上大多带有一个取代基


参考答案:ABDE


解析:

本题考查的是β受体阻断药的构效关系。

苯乙醇胺类和芳氧丙醇胺类药物的构效关系基本一致,仅在与醇羟基相连的β碳原子构型表述上有所差异。芳氧丙醇胺类药物β碳原子的S-构型活性大于尺一构型,而苯乙醇胺类R-构型的活性大于S-构型。其原因是与苯乙醇胺类药物相比,在芳氧丙醇胺类药物结构的苯环和侧链之间插入了氧原子,命名时优先基团顺序发生改变,但芳氧丙醇胺类药物β碳原子的S-构型与苯乙醇胺类药物的R-构型的立体结构是相当的。


第830题

芳氧丙醇胺类β受体阻断药的结构通式为,下列叙述错误的是


A.结构中芳环部分可以是苯、萘、杂环、稠环和脂肪性不饱和杂环等,芳环上的取代基可以是吸电子基,也可以是推电子基;2,4-或2,3,6-同时取代时活性最佳

B.末端氨基上以叔丁基和异丙基单取代活性最高;若用碳原子数少于3的烷基或N,N-双取代,活性下降

C.结构中-O-用-S、-CH2-或-NCH3-取代,作用增加

D.S-异构体活性强,R-异构体活性降低或消失

E.芳氧丙醇胺与苯乙醇胺有类似的构象,两者可紧密重叠


参考答案:C


解析:

本题考查的是芳氧丙醇胺类β受体阻断药的构效关系。

结构中-O-用-S、-CH2-或-NCH3-取代,作用降低。


第831题 与普萘洛尔的叙述不相符的是


A.属于β受体拮抗剂

B.属于α受体拮抗剂

C.结构中含有异丙氨基丙醇

D.结构中含有萘环

E.属于心血管类药物


参考答案:B


解析:

本题考查的是非选择性β受体阻断药。

普萘洛尔为β受体拮抗剂,芳氧丙醇胺类结构,芳环为萘核。普萘洛尔游离碱的亲脂性较大,主要在肝脏代谢,因此肝损害患者慎用。由于游离碱的高度脂溶性,易产生中枢效应。较强的抑制心肌收缩力和引起支气管痉挛及哮喘的副作用。普萘洛尔对β1受体和β2受体均有阻断作用。


第832题

与普萘洛尔相符的是


A.非选择性β受体拮抗剂,用于高血压、心绞痛等

B.分子结构中含有萘氧基、异丙氨基,又名心得安

C.含有一个手性碳原子,左旋体活性强,药用外消旋体

D.含有儿茶酚胺结构,易被氧化变色

E.含有2个手性碳原子,药用外消旋体


参考答案:ABC


解析:

本题考查的是普萘洛尔。

普萘洛尔又名心得安,化学名为1-异丙氨基-3-(1-萘氧基)-2-丙醇,结构中含有一个手性碳,左旋体或性较强,药用其外消旋体。为非选择性β受体拮抗剂,临床用于高血压、窦性心动过速、心绞痛等。


第833题 普萘洛尔的作用靶点是


A.血管紧张素转化酶

B.β肾上腺素受体

C.羟甲戊二酰辅酶A还原酶

D.钙离子通道

E.钾离子通道


参考答案:B


解析:

本题考查的是药物的作用靶点。

血管紧张素转化酶是普利类药的作用靶点;β肾上腺素受体是拟肾上腺素和洛尔类抗肾上腺素药的作用靶点;羟甲戊二酰辅醇A还原酶是他汀类降血脂药物的作用靶点:钙离子通道是二氢吡啶类抗心绞痛药物的作用靶点;钾离子通道是抗心律失常药胺碘酮的作用靶点。


第834题

有关结构式为的药物,下列说法正确的是


A.为非选择性β受体阻断药

B.属于芳氧丙醇胺类结构

C.S-异构体作用强于R-异构体;R-异构体在体内竞争性取代S-异构体,外消旋体的毒性比单个对映体强

D.脂溶性高,能进入CNS系统产生中枢效应

E.可以用来治疗支气管痉挛及哮喘


参考答案:ABCD


解析:

本题考查的是普萘洛尔的结构类别、结构特点、副作用等。

盐酸普萘洛尔是非选择性β受体阻断药的代表药物,属于芳氧丙醇胺类结构类型的药物,芳环为萘核。普萘洛尔的S-异构体具有强效的β受体阻断作用,而R-异构体的阻断作用很弱;R-异构体在体内竞争性取代S-异构体,导致后者血浆蛋白结合率下降,外消旋体的毒性比单个对映体强。但临床上仍应用其外消旋体;由于其脂溶性高,能进入CNS系统产生中枢效应,对β1受体和β2受体均有阻断作用。有较强的抑制心肌收缩和引起支气管痉挛及哮喘的副作用。


第835题

具有苯丙醇胺结构和烯丙基结构的非选择性β受体阻断药是


A.A

B.B

C.C

D.D

E.E


参考答案:B


解析:

本题考查的是非选择性β受体阻断药的代表药物及其结构特征。

图1为吲哚洛尔、图2为阿普洛尔、图3为氧烯洛尔、图4为纳多洛尔、图5为噻吗洛尔。可根据题干信息对应选项中的结构进行选择。另外有些药物名称对结构有所提示:如氧烯洛尔结构中含有“烯”丙“氧”基;吲哚洛尔结构中含有“吲哚”环;噻吗洛尔结构中含有“噻”二唑和“吗”啉环。


第836题

含有二羟基四氢萘的苯丙醇胺结构的非选择性β受体阻断药是


A.A

B.B

C.C

D.D

E.E


参考答案:D


解析:

本题考查的是非选择性β受体阻断药的代表药物及其结构特征。

图1为吲哚洛尔、图2为阿普洛尔、图3为氧烯洛尔、图4为纳多洛尔、图5为噻吗洛尔。可根据题干信息对应选项中的结构进行选择。另外有些药物名称对结构有所提示:如氧烯洛尔结构中含有“烯”丙“氧”基;吲哚洛尔结构中含有“吲哚”环;噻吗洛尔结构中含有“噻”二唑和“吗”啉环。


第837题

含有吗啉取代噻二唑基的芳氧丙醇胺类非选择性β受体阻断药是


A.A

B.B

C.C

D.D

E.E


参考答案:E


解析:

本题考查的是非选择性β受体阻断药的代表药物及其结构特征。

图1为吲哚洛尔、图2为阿普洛尔、图3为氧烯洛尔、图4为纳多洛尔、图5为噻吗洛尔。可根据题干信息对应选项中的结构进行选择。另外有些药物名称对结构有所提示:如氧烯洛尔结构中含有“烯”丙“氧”基;吲哚洛尔结构中含有“吲哚”环;噻吗洛尔结构中含有“噻”二唑和“吗”啉环。


第838题

下列药物中为常用的选择性β1受体阻断药的是


A.美托洛尔

B.倍他洛尔

C.醋丁洛尔

D.阿替洛尔

E.噻吗洛尔


参考答案:ABCD


解析:

本题考查的是非选择性β受体阻断药、选择性β1受体阻断药的代表药物。

非选择性β受体阻断药的代表药物有普萘洛尔、阿普洛尔、氧烯洛尔、吲哚洛尔、纳多洛尔和噻吗洛尔;选择性β1受体阻断药的代表药物有美托洛尔、倍他洛尔、醋丁洛尔、阿替洛尔和艾司洛尔。


第839题

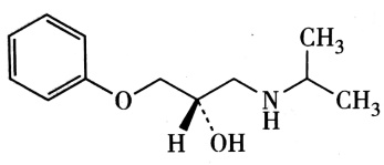
结构中含有甲氧乙基取代苯,又名倍他洛克,为选择性β1受体阻断药的是


A.A

B.B

C.C

D.D

E.E


参考答案:B


解析:

本题考查的是β1受体阻断药的代表药物及结构特点。

图1为阿替洛尔、图2为美托洛尔、图3为倍他洛尔、图4为醋丁洛尔、图5为艾司洛尔。本题可根据题干信息对应选项中的结构进行选择。


第840题

结构中含有乙酰基和丁酰胺基取代苯结构的β1受体阻断药是


A.A

B.B

C.C

D.D

E.E


参考答案:D


解析:

本题考查的是β1受体阻断药的代表药物及结构特点。

图1为阿替洛尔、图2为美托洛尔、图3为倍他洛尔、图4为醋丁洛尔、图5为艾司洛尔。本题可根据题干信息对应选项中的结构进行选择。


进入题库练习及模拟考试