“微信扫一扫”进入"可可试卷"微信小程序刷题
第781题
结构中含有螺环、四氮唑取代联苯结构的血管紧张素Ⅱ受体阻断药是
A.缬沙坦
B.氯沙坦
C.替米沙坦
D.坎地沙坦
E.厄贝沙坦
参考答案:E
解析:
本题考查的是厄贝沙坦的结构特征。
螺环是厄贝沙坦的结构特征。厄贝沙坦为螺环化合物,缺少氯沙坦结构中羟甲基,但与受体结合的亲和力却是氯沙坦的10倍;羰基与受体的氢键或离子偶极结合能模拟氯沙坦的羟基与受体的相互作用,而螺环能提高与受体的疏水结合能力。
第782题
厄贝沙坦属于
A.血管紧张素Ⅱ受体拮抗剂
B.血管紧张素转化酶抑制剂
C.羟甲戊二酰辅酶A还原酶抑制剂
D.钙通道阻滞剂
E.磷酸二酯酶抑制剂
参考答案:A
解析:
本题考查的是血管紧张素Ⅱ受体阻断药。
厄贝沙坦为血管紧张素Ⅱ受体拮抗剂,缺乏氯沙坦中羟基的螺环化合物,但与受体结合的亲和力却是氯沙坦的10倍。治疗原发性高血压,合并高血压的Ⅱ型糖尿病肾病的治疗。
第783题
结构如图所示,以前药形式使用的血管紧张素Ⅱ受体阻断药是
A.缬沙坦
B.氯沙坦
C.替米沙坦
D.坎地沙坦酯
E.厄贝沙坦
参考答案:D
解析:
本题考查的是坎地沙坦酯的结构特征。
临床使用的坎地沙坦酯是坎地沙坦的前药。其代谢产物结构为:

第784题
结构中不含有四氮唑环的血管紧张素Ⅱ受体阻断药是
A.缬沙坦
B.氯沙坦
C.替米沙坦
D.坎地沙坦酯
E.厄贝沙坦
参考答案:C
解析:
本题考查的是替米沙坦的结构特征。
其分子内不含有四氮唑环,含有两个苯并咪唑结构,四唑结构由羧基取代,仍然保持酸性。替米沙坦的结构为:

第785题
氯沙坦符合下列哪些性质
A.结构中含有四氮唑基
B.为ACE抑制剂
C.为血管紧张素Ⅱ受体拮抗剂
D.临床主要用于抗心律失常
E.能与钾离子成盐
参考答案:ACE
解析:
本题考查的是氯沙坦的性质。
氯沙坦是血管紧张素Ⅱ受体拮抗剂的代表药物,分子中的四氮唑结构为酸性基团,为中等强度的酸,其pKa5~6,能与钾离子成盐。2位为丁基使其保证必要的脂溶性和疏水性。5位为羟甲基,在体内约14%其羟甲基代谢氧化成甲酸衍生物。代谢物的活性比氯沙坦强10~40倍。本品的作用由原药与代谢产物共同产生。
第786题
下列药物中含有咪唑环的有
A.替米沙坦
B.缬沙坦
C.氯沙坦
D.坎地沙坦酯
E.厄贝沙坦
参考答案:ACDE
解析:
本题考查的是血管紧张素受体Ⅱ(AⅡ)阻断药的结构特征。
缬沙坦为不含咪唑环的AⅡ受体阻断药,作用稍高于氯沙坦,分子中的酰胺基与氯沙坦的咪唑环上的N为电子等排体,可与受体形成氢键。
第787题
结构中含有四氮唑结构的血管紧张素Ⅱ受体阻断药有
A.氯沙坦
B.缬沙坦
C.厄贝沙坦
D.依普罗沙坦
E.替米沙坦
参考答案:ABC
解析:
本题考查的是血管紧张素Ⅱ受体阻断药的结构特征。
依普罗沙坦的结构以羧酸结构替代了酸性的四氮唑取代苯结构,替米沙坦以羧基替代了联苯结构上的四氮唑基。
第788题
分子中四唑结构为酸性基团,咪唑环2位的丁基,作用由原药与代谢产物共同产生,使降压作用进一步加强和持久,该药结构是
A.A
B.B
C.C
D.D
E.E
参考答案:D
解析:
本题考查的是血管紧张素Ⅱ受体阻断药的结构特征、代谢及临床用途。
图1为缬沙坦、图2为替米沙坦、图3为厄贝沙坦、图4为氯沙坦、图5为依普罗沙坦。根据药物的化学结构即可判断出正确答案。
第789题
为螺环化合物,缺少氯沙坦结构中羟甲基,但与受体结合的亲和力却是氯沙坦的10倍,该药结构
A.A
B.B
C.C
D.D
E.E
参考答案:C
解析:
本题考查的是血管紧张素Ⅱ受体阻断药的结构特征、代谢及临床用途。
图1为缬沙坦、图2为替米沙坦、图3为厄贝沙坦、图4为氯沙坦、图5为依普罗沙坦。根据药物的化学结构即可判断出正确答案。
第790题
分子中含有噻吩丙烯酸结构,不经CPY450代谢,基本以原型药物形式排泄,耐受性好,该药结构是
A.A
B.B
C.C
D.D
E.E
参考答案:E
解析:
本题考查的是血管紧张素Ⅱ受体阻断药的结构特征、代谢及临床用途。
图1为缬沙坦、图2为替米沙坦、图3为厄贝沙坦、图4为氯沙坦、图5为依普罗沙坦。根据药物的化学结构即可判断出正确答案。
第791题
不含四氮唑结构,含有双苯并咪唑及联苯结构的血管紧张素Ⅱ受体阻断药是
A.A
B.B
C.C
D.D
E.E
参考答案:B
解析:
本题考查的是血管紧张素Ⅱ受体阻断药的结构特征。
替米沙坦为分子中不含四氮唑基的AⅡ受体阻断药。
第792题
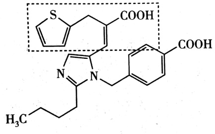
不含四氮唑结构和联苯结构,含有噻吩丙烯酸结构的血管紧张素Ⅱ受体阻断药是
A.A
B.B
C.C
D.D
E.E
参考答案:D
解析:
本题考查的是血管紧张素Ⅱ受体阻断药的结构特征。
依普罗沙坦(如下图)结构中含有噻吩丙烯酸。

第793题
通过拮抗血管紧张素Ⅱ受体而发挥降血压作用的药物是
A.依那普利
B.缬沙坦
C.地尔硫卓
D.厄贝沙坦
E.赖诺普利
参考答案:BD
解析:
本题考查的是血管紧张素Ⅱ受体阻断药。
缬沙坦及厄贝沙坦属于血管紧张素2受体抑制剂。
第794题
依普罗沙坦的结构式为
,其结构中含有的基团有
A.噻吩丙烯酸结构
B.烷基取代咪唑
C.联苯结构
D.羧基取代苯
E.酸性四氮唑环
参考答案:ABD
解析:
本题考查的是依普罗沙坦的结构特征。
其结构中不含氯沙坦结构中的四氮唑取代的联苯结构。
第795题
以氯沙坦为例,下列叙述中符合血管紧张素Ⅱ受体阻断药的构效关系的有
A.咪唑环上氯取代可以被体积大、电荷性高的亲脂性基团替换
B.咪唑环上2位应为3~4个碳原子的直链烷基取代,药效最佳
C.咪唑环或可视为咪唑环的开环衍生物,为必需的基团
D.联苯结构上四氮唑可以被其他酸性基团替代,如羧基等
E.四氮唑结构可以被三氮唑结构替换
参考答案:ABCD
解析:
本题考查的是血管紧张素Ⅱ受体阻断药的构效关系。
血管紧张素Ⅱ(AⅡ)受体阻断药是含有酸性基团的联苯结构,酸性基团可以为四氮唑环也可以是羧基,在联苯的一端联有咪唑环或可视为咪唑环的开环衍生物,咪唑环或开环的结构上都联有相应的药效基团。选项E中三氮唑不是酸性基团,不能替换四氮唑结构。
第796题
结构中含有两个苯并咪唑环的血管紧张素Ⅱ受体阻断药为
A.缬沙坦
B.氯沙坦
C.替米沙坦
D.坎地沙坦
E.厄贝沙坦
参考答案:C
解析:
本题考查的是替米沙坦的结构特征。
替米沙坦结构中含有两个苯并咪唑环。
第797题
由于长时间服药出现了严重干咳副作用,建议的药物是
A.赖诺普利
B.卡托普利
C.福辛普利
D.氯沙坦
E.贝那普利
参考答案:D
解析:
本题考查的是血管紧张素转换酶抑制药的副作用。
该类具有干咳的副作用,而沙坦类药物不具有此副作用。
第798题
可以选择性扩张脑血管,治疗偏头痛的药物为
A.尼群地平
B.硝苯地平
C.氨氯地平
D.非洛地平
E.尼莫地平
参考答案:E
解析:
本题考查的是尼莫地平的临床用途。
尼莫地平易透过血-脑屏障进入中枢,可选择性扩张脑血管。
第799题
在体外无活性,需要在体内水解开环发挥活性的药物是
A.A
B.B
C.C
D.D
E.E
参考答案:D
解析:
本题考查的是他汀类药物结构特征。
在体外无活性,需要在体内水解开环发挥活性的药物是洛伐他汀。
第800题
用吲哚环替代六氢环,第一个通过全合成得到的药物是
A.A
B.B
C.C
D.D
E.E
参考答案:B
解析:
本题考查的是他汀类药物结构特征。
用吲哚环替代六氢环,第一个通过全合成得到的药物是氟伐他汀钠。