“微信扫一扫”进入"可可试卷"微信小程序刷题
第241题
联系一定的概率作参数区间估计时,概率表明的是要求估计的( )。
A.精确度
B.可靠程度
C.准确性
D.有效性
参考答案:B
解析:
确定抽样误差范围和要求抽样的可靠程度之间具有密切联系。 这里的要求抽样的可靠程度在统计中叫概率。联系一定的概率作参数区间估计即要求区间估计具有一定的可靠程度。 概率越大, 估计的可靠程度越高, 置信区间就越宽; 概率越小, 估计的可靠程度越低, 置信区间就越窄。
第242题
从一个服从正态分布的总体中随机抽取样本容量为n的样本,在95%的置信度下对总体均值进行估计的结果为20±0.08。如果其他条件不变,样本容量扩大到原来的4倍,则总体均值的置信区间应该是( )。
A.20±0.16
B.20±0.04
C.80±0.16
D.80±0.04
参考答案:B
解析:
在正态分布下,总体均值区间估计为
,故样本容量扩大到原来的4倍,误差项变为原来的一半。
第244题 在其他条件不变的情况下,当样本量增大为原来的两倍时,总体均值的置信区间( )。
A.变宽
B.变窄
C.可能变宽也可能变窄
D.保持不变
参考答案:B
解析:当置信水平固定时,置信区间的宽度随样本量的增大而减小。
第245题
当σ2已知时,总体均值μ在1-α置信水平下的置信区间为( )。
A.

B.
![]()
C.

D.

参考答案:A
解析:
如果总体X~N(μ,σ2),且方差σ2已知,在 1-α置信水平总体均值的置信区间为:

第247题
一盒中装有大量的红、蓝两色的弹子,但比例未知,现随机摸出100粒弹子,发现53颗是红的,盒子中红弹子的百分比估计为53%,估计标准误差为5%,下列陈述正确的有( )。
A.53%是盒中红弹子比例的点估计
B.5%度量了抽样误差的可能大小
C.可能偏离盒子中红弹子的百分数5%左右
D.盒子中红弹子百分数的近似95%置信区间为从43%到63%
E.样本中红弹子百分数的近似95%置信区间为从43%到63%
参考答案:ABCD
解析:
D项,盒子中红弹子百分比的置信区间是
代入数据可得,其95%的置信区间是[43%,63%];E项,样本中红弹子百分数是53%,是个确定的数。
第248题
从100个住户中随机抽取了10户,调查其月消费支出额。经计算得到10户的平均月消费支出额为3 500元,标准差为300元。假定总体服从正态分布,则总体平均月消费支出额95%的置信区间为:
。( )
参考答案:错
解析:
其一,总体方差未知,小样本应该用t统计量,其二,即使用z统计量,公式中的数值也是错误的。
第249题
若一组数据服从正态分布,则下列判断正确的有( )。
A.正态随机变量落入其均值左右各1个标准差内的概率是68.27%
B.正态随机变量落入其均值左右各2个标准差内的概率是68.27%
C.正态随机变量落入其均值左右各2个标准差内的概率是95.45%
D.正态随机变量落人其均值左右各3个标准差内的概率是99.73%
E.正态随机变量落人其均值左右各4个标准差内的概率是99.73%
参考答案:ACD
解析:
根据正态分布的3σ准则,可知被调查者身高在一个标准差(1σ)的范围是68.27%,即被调查者中有68.27%的人的身高是在离总体均值左右一个标准差的范围里。同理,被调查者身高在两个标准差2σ的范围是95.45%;被调查者身高在三个标准差3σ的范围是99.73%。
第251题
如果要缩小置信区间,在其他条件不变的情况下,必须提高对置信水平的要求。( )
参考答案:错
解析:
在其他条件不变的情况下,置信水平越高,置信区间越宽。因此如果要缩小置信区间,则必须降低置信水平。
第252题
估计量抽样分布的期望值等于被估计的总体参数,说明估计量具有( )。
A.无偏性
B.有效性
C.一致性
D.稳定性
参考答案:A
解析:
无偏性是指估计量抽样分布的期望值等于被估计的总体参数;有效性是指估计量的方差尽可能小;一致性是指随着样本量的增大,点估计量的值越来越接近被估计总体的参数。
第253题
随机从鱼塘的不同位置撒网捕鱼,捕到 100 条鲶鱼,称重后得知鲶鱼的平均重量(公斤)为 2,方差为 2.5。则此鱼塘平均每条鲶鱼重量 95%的置信区间为( )。(注: Z 0.025 =1.96 )
A.1.69~2.31
B.1.51~2.49
C.1.84~2.16
D.1.75~2.25
参考答案:A
解析:

A.19
B.20
C.384
D.385
参考答案:D
解析:

第255题
使用同一组样本数据根据正态分布估计总体均值时,如果将置信度由 90%调整为95%,则( )。
A.

B.

C.样本均值保持不变
D.置信区间宽度将减小
E.置信区间宽度将增大
参考答案:BCE
解析:
当样本量给定时,置信区间的宽度随着置信水平的增大而增大,E选项正确;
第256题
下列表述中正确的有( )。
A.总体均值的置信区间都是由样本均值加减估计误差得到
B.在小样本情况下,对总体均值的估计都是建立在总体服从正态分布的假定条件下
C.若总体为未知的非正态总体,当样本量n充分大时,样本均值的分布近似服从正态分布
D.当总体服从正态分布时,无论样本量大小,样本均值一定服从正态分布
E.对总体均值进行区间估计时,不需要考虑总体方差是否已知
参考答案:ABD
解析:
选项C错误,若总体为未知的非正态总体,当样本量n充分大时,样本均值的分布近似服从正态分布;选项E错误,对总体均值进行区间估计时,需要考虑总体方差是否已知,当总体方差未知时,需要用样本方差来代替总体方差。
第257题
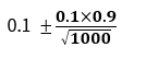
今从某地区抽取 1000 户居民家庭调查其每月的平均生活费用。按照当地贫困划分标准,其中有 100 户为贫困户,则贫困率 95%的置信区间为( )。(注:Z 0.025 = 1.96 )
A.

B.

C.

D.

参考答案:C
解析:

第258题 在大样本条件下,根据中心极限定理,如果( ),则二项分布可用正态分布近似。
A.np≤5,n(1-p)≤5
B.np≥5,n(1-p)≥5
C.np≥5,n(1-p)≤5
D.np≤5,n(1-p)≥5
参考答案:B
解析:在大样本条件下,根据中心极限定理,若np≥5,n (1-p)≥5,则二项分布可用正态分布近似。
第259题
随着样本容量的增大,点估计量的值越来越接近被估计总体参数的真实值,这种性质是估计量的()
A.无偏性
B.稳健性
C.有效性
D.一致性
参考答案:D
解析:
点估计的评估标准有以下三个:①无偏性,是指估计量抽样分布的期望值等于被估计的总体参数;②有效性,是指估计量的方差尽可能小;③一致性,是指随着样本量的增大,点估计量的值越来越接近被估计总体的参数。
第260题
抽样估计的有效性,是指作为优良估计量的方差,应该比其他估计量的方差( )。
A.大
B.小
C.相等
D.无关
参考答案:B
解析:
有效性是指估计量的方差尽可能小。一个无偏的估计量并不意味着它就非常接近被估计的总体参数,估计量与参数的接近程度使用估计量的方差来度量的。对同一个总体参数的两个无偏估计量,有更小方差的估计量更有效。