“微信扫一扫”进入"可可试卷"微信小程序刷题
第101题
在如下图所示双代号网络图中,不存在的错误是( )。
A.节点编号重复
B.虚工作多余
C.循环回路
D.箭尾节点号大于箭头节点号
参考答案:B
解析:选项B正确,本题中存在两个节点编号②,存在循环回路,箭尾节点编号大于箭头结尾编号。
第102题
某工程施工进度计划如图所示,下列说法中,错误的是( )。
A.R的紧后工作有A、B
B.E的紧前工作只有C
C.D的紧后工作只有F
D.P没有紧前工作
参考答案:B
解析:选项B正确,在网络图中,相对于某工作而言,紧排在该工作之前的工作称为该工作的紧前工作。在网络图中,相对于某工作而言,紧排在该工作之后的工作称为该工作的紧后工作。E的紧前工作有A、C。
第103题 在工程网络计划中,关键线路上( )。
A.节点的最早时间等于最迟时间
B.工作的持续时间总和即为计算工期
C.工作的总时差等于计划工期与计算工期之差
D.相邻两项工作之间的时距全部为零
参考答案:C
解析:选项C正确,在工程网络计划中,总持续时间最长的线路称为关键线路,关键线路的长度就是网络计划的总工期。网络计划终点节点n所代表的工作的总时差应等于计划工期与计算工期之差,即:相邻两项工作之间的时间间隔全部为零。
第104题
根据下表给定的逻辑关系绘制某分部工程双代号网络计划如下图所示,其作图错误的是( )。
A.节点编号不对
B.逻辑关系不对
C.有多个起点节点
D.有多个终点节点
参考答案:D
解析:选项D正确,图中存在⑥和⑦两个终点节点。
第105题
某分部工程双代号网络计划如下图所示,其关键线路有( )条。
A.5
B.4
C.3
D.2
参考答案:B
解析:选项B正确,本题中的关键线路有:①→②→④→⑥→⑦→⑧→⑨→⑩、①→②→④→⑧→⑨→⑩、①→③→④→⑥→⑦→⑧→⑨→⑩、①→③→④→⑧→⑨→⑩,共4条。
第106题 根据网络计划时间参数计算得出的工期称为( )。
A.要求工期
B.计划工期
C.计算工期
D.合同工期
参考答案:C
解析:选项C正确,计算工期是根据网络计划时间参数计算而得到的工期,用Tc表示。要求工期是任务委托人所提出的指令性工期,用Tr表示。计划工期是指根据要求工期和计算工期所确定的作为实施目标的工期,用Tp表示。
第107题 工作的最早完成时间是指在其所有紧前工作全部完成后,本工作有可能完成的最早时刻,工作的最早完成时间等于( )。
A.最早开始时间与其持续时间之和
B.最早开始时间与其持续时间之差
C.最迟完成时间与其持续时间之和
D.最迟完成时间与其持续时间之差
参考答案:A
解析:选项A正确,工作的最早完成时间等于本工作的最早开始时间与持续时间之和。
第108题 某工作有两项紧前工作,它们的最早开始时间分别是第3天和第5天,相应的持续时间分别是8d和7d,则该工作的最早开始时间是第( )天。
A.10
B.11
C.12
D.13
参考答案:C
解析:选项C正确,工作最早开始时间等于各紧前工作的最早完成时间的最大值。该工作有两项紧前工作,则其最早开始时间=max{(3+8),(5+7)}=12。
第109题
下列网络计划中,工作E的最迟开始时间是( )。
A.4
B.5
C.6
D.7
参考答案:C
解析:选项C正确,工作最迟时间参数受到紧后工作的约束,故其计算顺序应从终点节点起,逆着箭线方向依次逐项计算。工作F为终点节点,故其最迟完成时间为13,其最迟开始时间为13-4=9,工作E的紧后工作为工作F,因此工作E的最迟完成时间为9,其最迟开始时间为9-3=6。
A.2
B.3
C.4
D.5
参考答案:A
解析:选项A正确,工作M的最迟开始时间=22-10=12,工作N的最迟开始时间=20-5=15,工作K的最迟完成时间为min{12,15]=12,所以,工作K的总时差为TFK=LFK-ESK-DK=12-6-4=2d。
第111题 工程网络计划中,工作总时差是指不影响( ) 的前提下,该工作可以利用的机动时间。
A.紧后工作最早完成
B.紧后工作最早开始
C.后续工作最早完成
D.紧后工作最迟开始
参考答案:D
解析:选项D正确,总时差是在不影响总工期的前提下,本工作可以利用的机动时间(迟-早)。自由时差是在不影响其紧后工作最早开始时间的前提下,本工作可以利用的机动时间(早-早)。
第112题
某工程单代号网络计划如下图所示,图中工作 B 的总时差是指在不影响( )的前提下所具有的机动时间。
A.工作 D 最迟开始时间
B.工作 E 最早开始时间
C.工作 D、E 最迟开始时间
D.工作 D、E 最早开始时间
参考答案:C
解析:选项C正确,总时差是在不影响总工期的前提下,本工作可以利用的机动时间(迟-早)。
第113题 某工程双代号网络计划中,工作H的紧后工作有Q、S,工作Q的最迟开始时间为12,最早开始时间为8;工作S的最迟完成时间为14,最早完成时间为10;工作H的自由时差为4d。则工作H的总时差为( )d。
A.2
B.4
C.5
D.8
参考答案:D
解析:选项D正确,工作H的总时差=min{(12-8),(14-10)}+4=8d。
第114题
某工程双代号网络计划如下图所示,工作E的自由时差和总时差分别是()。
A.1和2
B.2和2
C.3和4
D.4和4
参考答案:B
解析:选项B正确,对于有紧后工作的工作,其自由时差等于本工作之紧后工作最早开始时间减本工作最早完成时间所得之差的最小值。工作的总时差等于该工作最迟完成时间与最早完成时间之差,或该工作最迟开始时间与最早开始时间之差。则工作E的自由时差=min{12-10,14-10}=2;工作E的最迟开始时间=12-4=8,总时差=8-(2+4)=2。
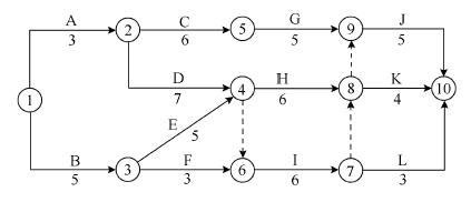
第115题
在下图某混凝土工程双代号网络计划中,关键线路为( )。
A.①—②—③—⑤—⑥
B.①—②—③—④—⑤—⑥
C.①—②—④—⑤—⑥
D.①—②—④—⑥
参考答案:C
解析:选项C正确,从起点节点到终点节点的通路,通路上各项工作的持续时间总和最大的就是关键线路。本题中的关键线路为①→②→④→⑤→⑥。
第117题 在工程网络计划中,如果某项工作的最早开始时间和最早完成时间分别为3d和8d,则说明该工作实际上最早应从开工后( )。
A.第3天上班时刻开始,第8天下班时刻完成
B.第3天上班时刻开始,第9天下班时刻完成
C.第4天上班时刻开始,第8天下班时刻完成
D.第4天上班时刻开始,第9天下班时刻完成
参考答案:C
解析:选项C正确,如果某项工作的最早开始时间和最早完成时间分别为3d和8d,则说明该工作实际上最早应从开工后第4天上班时刻开始,第8天下班时刻完成。
第118题 关于双代号网络计划中关键线路和关键工作的表述,正确的是( )。
A.两端为关键节点的工作一定是关键工作
B.在关键线路上不可能有虚工作存在
C.各项工作的持续时间总和最小的就是关键线路
D.当网络计划的计划工期等于计算工期时,总时差为零的工作就是关键工作
参考答案:D
解析:选项A错误,关键工作两端的节点必为关键节点,但两端为关键节点的工作不一定是关键工作。选项B错误,在关键线路上可能有虚工作存在。选项C错误,各项工作的持续时间总和最长的就是关键线路。选项D正确,当网络计划的计划工期等于计算工期时,总时差为零的工作就是关键工作。
第119题 在网络计划中,工期泛指完成一项任务所需要的时间,其中任务委托人所提出的指令性工期为( )。
A.计算工期
B.要求工期
C.计划工期
D.规定工期
参考答案:B
解析:选项B正确,要求工期是任务委托人所提出的指令性工期。计算工期是根据网络计划时间参数计算而得到的工期。计划工期是指根据要求工期和计算工期所确定的作为实施目标的工期。
第120题 在工程网络计划中,关键工作是指( )的工作。
A.最迟完成时间与最早完成时间的差值最小
B.双代号网络计划中开始节点和完成节点均为关键节点
C.双代号时标网络计划中无波形线
D.单代号网络计划中时间间隔为零
参考答案:A
解析:选项A正确,在网络计划中,总时差最小的工作为关键工作。特别地,当网络计划的计划工期等于计算工期时,总时差为零的工作就是关键工作。在双代号网络计划中,关键线路上的节点称为关键节点。关键工作两端的节点必为关键节点,但两端为关键节点的工作不一定是关键工作。单代号网络计划中,关键工作相邻两项工作之间的时间间隔全部为零。