“微信扫一扫”进入"可可试卷"微信小程序刷题
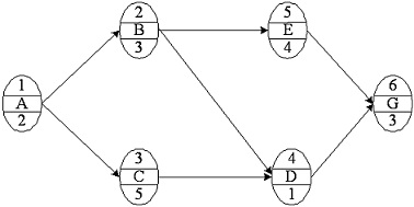
第401题 某双代号网络图如下图所示,正确的是( )。

A.工作C、D应同时开始
B.工作B的紧后工作只有工作C、D
C.工作C、D完成后即可进行工作G
D.工作D完成后即可进行工作F
参考答案:C
解析:C工作需要AB工作都完成了才可以开始,D工作只需要B工作完成就可以开始,因此A选项说法错误。B的紧后工作共有3个,分别是CDE工作,B选项说法错误。工作F仅需要考虑C工作完成即可开始,D选项说法错误。
第402题 关于单代号搭接网络计划时距的说法,正确的是( )。
A.时距是某工作具有的特殊时间参数
B.相邻工作间只能有一种时距的限制
C.时距是时间间隔的特殊形式
D.时距一般标注在箭线的上方
参考答案:D
解析:单代号搭接网络图中,箭线及其上面的时距符号表示相邻工作间的逻辑关系。AC选项说法错误。工作的搭接顺序关系是用前项工作的开始或完成时间与其紧后工作的开始或完成时间之间的间距来表示,具体有四类,B选项说法错误。
第403题 下列关于横道图进度计划法特点的说法,正确的是( )。
A.工序(工作)之间的逻辑关系表达清楚
B.适用于手工编制进度计划
C.可以适应大的进度计划系统
D.能够直观确定计划的关键工作、关键线路与时差
参考答案:B
解析:横道图进度计划法表达方式较直观,易看懂计划编制的意图。其缺点包括:(1)工序(工作)之间的逻辑关系可以设法表达,但不易表达清楚;(2)适用于手工编制计划;(3)没有通过严谨的进度计划时间参数计算,不能确定计划的关键工作、关键路线与时差;(4)计划调整只能用手工方式进行,其工作量较大;(5)难以适应大的进度计划系统。
第404题 某工程施工网络计划经工程师批准后实施。已知工作A有5天的自由时差和8天的总时差,由于第三方原因,使工作A的实际完成时间比原计划延长了12天。在无其它干扰的情况下,该工程的实际工期将延长( )天。
A.3
B.4
C.7
D.12
参考答案:B
解析:总时差指的是在不影响总工期的前提下,可以利用的机动时间,本例中实际工期延长天数=12-8=4天。
第406题 某网络计划中,工作M的最早完成时间为第8天,最迟完成时间为第13天,工作的持续时间为4天,与所有紧后工作的间隔时间最小值为2天。则该工作的自由时差为( )天。
A.2
B.3
C.4
D.5
参考答案:A
解析:工作M与所有的紧后工作的间隔时间最小值为2天,所以自由时差为2天。
第407题 某工程的单代号网络计划如下图所示(时间单位:天),该计划的计算工期为( )天。

A.9
B.11
C.12
D.15
参考答案:C
解析:找所有线路中工期最长的一条,即A→B→E→G,其工期是12天。
第408题 关于双代号网络计划的工作最迟开始时间的说法,正确的是( )。
A.最迟开始时间等于各紧后工作最迟开始时间的最大值
B.最迟开始时间等于各紧后工作最迟开始时间的最小值
C.最迟开始时间等于各紧后工作最迟开始时间的最大值减去持续时间
D.最迟开始时间等于各紧后工作最迟开始时间的最小值减去持续时间
参考答案:D
解析:最迟开始时间等于最迟完成时间减去其持续时间,最迟完成时间等于各紧后工作的最迟开始时间的最小值。
第409题 在工程网络计划中,关键工作是指( )的工作。
A.双代号时标网络计划中箭线上无波形线
B.与其紧后工作之间时间间隔为零
C.最早开始时间与最迟开始时间相差最小
D.双代号网络计划中两端节点均为关键节点
参考答案:C
解析:选项C,在双代号网络计划中,工作的总时差等于其最迟开始时间减去最早开始时间,或等于最迟完成时间减去最早完成时间,而关键工作是总时差最小的工作。
第410题 关于网络计划关键线路的说法,正确的有( )。
A.单代号网络计划中由关键工作组成的线路
B.总持续时间最长的线路
C.双代号网络计划中无虚箭线的线路
D.双代号网络计划中由关键节点连成的线路
参考答案:B
解析:选项A正确表述“全部由关键工作组成的线路,且关键工作之间的时间间隔全部为零”。选项C、D错误,正确的表述应为“(1)双代号网络计划中总的工作持续时间最长的线路是关键线路;(2)双代号网络计划中全部由关键工作组成的线路是关键线路”。
A.4
B.1
C.8
D.11
参考答案:A
解析:自由时差,不影响最后工作最早开始时间的前提下,本工作可以利用的机动时间。自由时差=min紧后工作最早开始时间-本工作的最早完成时间=21-(12+5)=4天。
第412题 某网络计划中,已知工作M的持续时间为6天,总时差和自由时差分别为3天和1天,检查中发现该工作实际持续时间为9天,则其对工程的影响是( )。
A.既不影响总工期,也不影响其紧后工作的正常进行
B.不影响总工期,但是其紧后工作的最早开始时间推迟2天
C.使其紧后工作的最迟开始时间推迟3天,并使总工期延长1天
D.使其紧后工作的最早开始时间推迟1天,并使总工期延长3天
参考答案:B
解析:如实际进度比计划进度拖后3天,不影响总工期,但是其紧后工作的最早开始时间推迟2天。
A.4
B.5
C.8
D.7
参考答案:D
解析:总时差=min{紧后工作的总时差+本工作与该紧后工作之间的时间间隔}。工作F的总时差=min{4+4,2+5}=7天。
A.2
B.3
C.5
D.6
参考答案:A
解析:工作K的总时差等于最迟完成时间减去最早完成时间,工作K的最早完成时间等于6+4=10。工作M的最迟开始时间为22-10=12,工作N的最迟开始时间为20-5=15,故工作K的最迟完成时间为12。故工作K的总时差为12-10=2。
第415题 某工作有两个紧前工作,最早完成时间分别是第2天和第4天,该工作持续时间是5天,则其最早完成时间是第( )天。
A.9
B.6
C.7
D.11
参考答案:A
解析:工程网络计划有关时间参数的计算max{2+4,4+5}=9
第416题 关于网络计划中节点的说法,正确的是( )。
A.节点内可以用工作名称代替编号
B.节点在网络计划中只表示事件,即前后工作的交接点
C.所有节点均既有向内又有向外的箭线
D.所有节点编号不能重复
参考答案:D
解析:
工程网络计划的编制方法
A选项,双代号网络图中,节点应用圆圈表示,并在圆圈内标注编号。
B选项,节点是网络图中箭线之间的连接点。
C选项,中间节点即网络图中既有内向箭线,又有外向箭线的节点。
D选项,网络图节点的编号顺序应从小到大,可不连续,但不允许重复。
第417题 关于网络计划中箭线的说法,正确的是( )。
A.箭线在网络计划中只表示工作
B.箭线都要占用时间,多数要消耗资源
C.箭线的长度表示工作的持续时间
D.箭线的水平投影方向不能从右往左
参考答案:D
解析:工程网络计划的编制方法A选项,双代号网络图中,每一条箭线表示一项工作。B选项,在双代号网络图中,任意一条实箭线都要占用时间,并多数要消耗资源。虚箭线是实际工作中并不存在的一项虚设工作,故它们既不占用时间,也不消耗资源。C选项,在无时间坐标的网络图中,箭线的长度原则上可以任意画,其占用的时间以下方标注的时间参数为准。在有时间坐标的网络图中,箭线的长度必须根据完成该工作所需持续时间的长短按比例绘制。D选项,箭线可以为直线、折线或斜线,但其行进方向均应从左向右。
第418题 某单代号网络计划如下图(实践单位:天),计算工期是( )天。

A.8
B.13
C.10
D.12
参考答案:B
解析: 工程网络计划有关时间参数的计算关键线路: B→E→G, 2+6+5=13
第419题 某双代号网络计划如下图所示,存在的不妥之处是( )。

A.有多个起点节点
B.工作表示方法不一致
C.节点编号不连续
D.有多余时间参数
参考答案:B
解析:工程网络计划的编制方法B选项,⑦-⑧之间2应该用字母表示工作。
第420题 关于横道图进度计划的说法,正确是( )。
A.横道图中的工作均无机动时间
B.横道图中工作的时间参数无法计算
C.计划的资源需要量无法计算
D.计划的关键工作无法确定
参考答案:D
解析:横道图进度计划的编制方法横道图进度计划法也存在一些问题,如∶(1)工序(工作)之间的逻辑关系可以设法表达,但不易表达清楚。(2)适用于手工编制计划。(3)没有通过严谨的进度计划时间参数计算,不能确定计划的关键工作、关键路线与时差。(4)计划调整只能用手工方式进行,其工作量较大。(5)难以适应大的进度计划系统。