“微信扫一扫”进入考试题库练习及模拟考试
第101题 下列世界文化遗产及所在地对应错误的是:
A.平遥古城——山西;鼓浪屿——福建
B.龙门石窟——河南;云冈石窟——陕西
C.布达拉宫——西藏;良渚古城遗址——浙江
D.武当山古建筑群——湖北;西递村——安徽
参考答案:B
解析:本题考查地理国情。
A项正确,平遥古城位于山西省晋中市,始建于西周宣王时期(前827年—前782年),于明代洪武三年(1370年)重建、扩修城池,是现今中国境内保存最为完整的一座古代县城;1997年12月3日,平遥古城与周边的双林寺、镇国寺共同被联合国教科文组织确定为世界文化遗产,列入《世界遗产名录》。鼓浪屿位于福建省厦门市,岛西南有一海蚀岩洞受浪潮冲击,声如擂鼓,自明朝雅化为今名称“鼓浪屿”;2017年7月8日,“鼓浪屿:历史国际社区”被列入世界遗产名录。
B项错误,龙门石窟位于河南省洛阳市,是世界上造像最多、规模最大的石刻艺术宝库,被联合国教科文组织评为“中国石刻艺术的最高峰”,中国著名石窟之一,现为世界文化遗产。云冈石窟位于山西省大同市,原名灵岩寺、石佛寺,是中国第一个皇家授权开凿的石窟;2001年,云冈石窟被联合国教科文组织列入世界文化遗产名录。
C项正确,布达拉宫位于西藏自治区首府拉萨市,是一座宫堡式建筑群,主体建筑为白宫和红宫两部分;1994年,布达拉宫被列入世界遗产名录。良渚古城遗址位于浙江省杭州市余杭区,由良渚古城核心区、水利系统、祭坛墓地和外围郊区等部分组成;2019年7月6日,良渚古城遗址获准列入世界遗产名录。
D项正确,武当山古建筑群位于湖北省丹江口市境内,敕建于唐贞观年间,明代达到鼎盛;1994年,武当山古建筑群被列入世界文化遗产名录。西递村位于安徽省黟县西递镇,地处黄山南麓、黟县盆地南侧,始建于北宋皇佑年间,发展于明朝景泰中叶,鼎盛于清代初期;2000年,以西递村为代表的皖南古村落被联合国教科文组织列入世界文化遗产名录。
本题为选非题,故正确答案为B。
第102题 下列关于游乐项目所蕴含物理原理的说法错误的是:
A.过山车快速下降时,人感觉自己要飘起来了,是因为人的重力减小了
B.沙滩车的轮子往往做得特别宽大,是为了减小轮子对沙地的压强,防止下陷
C.蹦极运动中,腿部绑弹性绳,是为了增加绳对人的作用时间,减小绳对人的作用力
D.跷跷板游戏中,人越靠近支点越不容易压动跷跷板,是人对板作用力的力臂减小的缘故
参考答案:A
解析:
本题考查科技常识。
A项错误,过山车快速下降时,加速度向下,此时人体属于失重状态,因此感觉自己飘起来了,失重是物体对支持物的压力小于物体所受重力的现象。物体由于地球的吸引而受到的力叫重力,方向总是竖直向下,乘坐过山车时人的重力不变。
B项正确,根据压强公式
,当沙滩车对地面的压力一定时,增大受力面积可以减少压强,从而防止下陷,便于在沙滩上行驶。
C项正确,蹦极运动中,腿部绑弹性绳,是因为弹性绳拉长吸收能量,运动能量转化为弹性绳的弹力能量;弹性绳缩短释放能量,弹性绳的弹力能量转化为运动能量,弹性绳通过吸收和释放能量,使参与者在跳跃后能够反弹回升。由此增加绳对人的作用时间,减小绳对人的作用力,更好地保护蹦极的人。
D项正确,根据杠杆原理(动力×动力臂=阻力×阻力臂),人对跷跷板的压力是动力和阻力,人到跷跷板的固定点的距离是力臂;当动力和阻力一定时,人越靠近支点,人对板作用力的力臂越小,越不容易压动跷跷板;人越远离支点,人对板作用力的力臂越大,越容易压动跷跷板。
本题为选非题,故正确答案为A。
第103题 下列诗词中包含的生物学现象说法错误的是( )。
A.野火烧不尽,春风吹又生——草原生态系统具有稳定性
B.群雁辞归鹄南翔,念君客游思断肠——候鸟通过迁徙适应气候变化
C.停车坐爱枫林晚,霜叶红于二月花——植物开花受温度和光照影响
D.落红不是无情物,化作春泥更护花——微生物的分解作用及物质的循环
参考答案:C
解析:本题考查科技常识。
A项正确,“野火烧不尽,春风吹又生”出自唐代诗人白居易的《赋得古原草送别》。诗句的意思是:野火不能烧尽野草,春天一到野草会长出来。生态系统稳定性即为生态系统所具有的保持或恢复自身结构和功能相对稳定的能力。这句诗通过描述野火燃烧和春风吹拂后植被再生的情景,体现了草原生态系统在面对破坏时的恢复和重生能力,展现了其具有一定的稳定性。
B项正确,“群雁辞归鹄南翔,念君客游思断肠”出自魏晋时期诗人曹丕的《燕歌行二首·其一》。诗句的意思是:燕群辞归,天鹅南飞。思念出外远游的良人啊,我肝肠寸断。这句诗描写了候鸟离开北方迁徙到南方的场景。候鸟是指栖息地和繁殖地之间在不同季节之间往返的鸟类,它们通常会根据气候和资源的变化而进行周期性的迁徙,以适应气候变化,寻找适宜的生存条件。
C项错误,“停车坐爱枫林晚,霜叶红于二月花”出自唐朝诗人杜牧的《山行》。诗句的意思是:停下车来,是因为喜爱这深秋的枫林晚景,那经霜的枫叶竟比二月的鲜花还要火红。夏天的枫叶是绿色的,这是因为枫叶中含有大量的叶绿素。叶绿素对绿光的吸收少、反射多导致叶片呈现绿色;当秋天到来天气温度变低,叶绿素被降解,叶片就会呈现出花青素的颜色。花青素又称红色素,位于叶片细胞的液泡内,使叶片呈现红色。所以该句诗主要体现了温度对色素的影响。
D项正确,“落红不是无情物,化作春泥更护花”出自清代龚自珍的《己亥杂诗·其五》。诗句的意思是:从枝头上掉下来的落花不是无情之物,即使化作春泥,也甘愿化作养料,滋养美丽的花朵生长。这是由于在自然界中,土壤中的微生物可以分解落叶、枯枝、落花等有机物质,将这些有机物质转化为土壤中的无机盐等物质,使土壤更加肥沃,为植物提供养分。通过分解者的分解,这些有机物质回归到环境中并被再次利用,促进了自然界的物质循环。
本题为选非题,故正确答案为C。
A.该月饼外包装必须依法标注简体中文
B.该酒店出售明知不符合食品安全标准的食品,应当对其予以行政处罚
C.江某有权要求某酒店赔偿2000元损失,并要求支付30000元的赔偿金
D.江某已知该月饼已经超过保质期仍然购买,其自身也有问题,只能要求某酒店退还购买月饼的3000元
参考答案:D
解析:本题考查法律常识。
A项正确,根据《中华人民共和国国家通用语言文字法》第十四条第五项规定:“下列情形,应当以国家通用语言文字为基本的用语用字:(五)在境内销售的商品的包装、说明。”第二条规定:“本法所称的国家通用语言文字是普通话和规范汉字。”而规范汉字,是指经过整理简化并由国家以《简化字总表》与《通用规范汉字表》的形式,正式公布的简化字与传承字。不规范字主要指:繁体字与异体字。因此,该月饼外包装必须依法标注简体中文。
B项正确,根据《中华人民共和国食品安全法》第一百二十四条第五项:“违反本法规定,有下列情形之一,尚不构成犯罪的,由县级以上人民政府食品安全监督管理部门没收违法所得和违法生产经营的食品、食品添加剂,并可以没收用于违法生产经营的工具、设备、原料等物品;违法生产经营的食品、食品添加剂货值金额不足一万元的,并处五万元以上十万元以下罚款;货值金额一万元以上的,并处货值金额十倍以上二十倍以下罚款;情节严重的,吊销许可证:(五)生产经营标注虚假生产日期、保质期或者超过保质期的食品、食品添加剂”题中,该月饼保质期限截止到2023年8月30日,而2023年9月1日该酒店仍向江某出售超过保质期的食品,应当依法对其予以行政处罚。
C项正确,根据《中华人民共和国产品质量法》第四十三条规定:“因产品存在缺陷造成人身、他人财产损害的,受害人可以向产品的生产者要求赔偿,也可以向产品的销售者要求赔偿······”第四十条第二项规定:“售出的产品有下列情形之一的,销售者应当负责修理、更换、退货;给购买产品的消费者造成损失的,销售者应当赔偿损失:(二)不符合在产品或者其包装上注明采用的产品标准的;”第四十四条规定:“因产品存在缺陷造成受害人人身伤害的,侵害人应当赔偿医疗费、治疗期间的护理费、因误工减少的收入等费用······”根据《中华人民共和国食品安全法》第一百四十八条第二款规定:“生产不符合食品安全标准的食品或者经营明知是不符合食品安全标准的食品,消费者除要求赔偿损失外,还可以向生产者或者经营者要求支付价款十倍或者损失三倍的赔偿金;增加赔偿的金额不足一千元的,为一千元。但是,食品的标签、说明书存在不影响食品安全且不会对消费者造成误导的瑕疵的除外。”题中,受害人江某因月饼存在缺陷造成身体损害,花费治疗费2000元,有权要求销售者该酒店赔偿损失,另外该酒店明知月饼不符合食品安全标准仍出售给江某,江某还可以向酒店要求支付价款十倍或者损失三倍的赔偿金,题中月饼的价款是3000元,则江某有权要求该酒店支付30000元的赔偿金。
D项错误,根据《最高人民法院关于审理食品药品纠纷案件适用法律若干问题的规定》第三条规定:“因食品、药品质量问题发生纠纷,购买者向生产者、销售者主张权利,生产者、销售者以购买者明知食品、药品存在质量问题而仍然购买为由进行抗辩的,人民法院不予支持。”由此说明,即消费者江某明知月饼过期而购买,也并不能排除江某依法向食品的销售者该酒店进行索赔的权利。
本题为选非题,故正确答案为D。
                            第105题
                             地质学家和古生物学家根据地层自然形成的先后顺序,将地层分为4宙14代12纪。关于下图说法错误的是( )。
A.★处被命名为“太古宙”
B.☆处被命名为“白垩纪”
C.新生代被子植物高度繁盛
D.元古宙只有细菌和蓝藻存在
参考答案:D
解析:本题考查地理国情。
A、B两项正确,地质学家和古生物学家根据地层自然形成的先后顺序,将地层分为4宙14代12纪,早期的冥古宙、太古宙和元古宙(元古宙在中国含有1个震旦纪);以后显生宙的古生代、中生代和新生代。古生代分为寒武纪、奥陶纪、志留纪、泥盆纪、石炭纪和二叠纪,共6个纪;中生代分为三叠纪、侏罗纪和白垩纪,共3个纪;新生代分为古近纪、新近纪和第四纪,共3个纪。第四纪是新生代最新的一个纪,包括更新世和全新世。
C项正确,新生代是地球历史上最新的一个地质时代。新生代以哺乳动物和被子植物的高度繁盛为特征,由于生物界逐渐呈现了现代的面貌,故名新生代,即现代生物的时代。
D项错误,元古代时期出现了大量蓝藻和细菌,这些生物是地球上最原始的生命形式,都是原始单细胞生物。而元古宙晚期有无脊椎动物出现,所以元古宙不仅仅只有细菌和蓝藻的存在。
本题为选非题,故正确答案为D。
第106题 截至2022年12月,我国20 岁以上网民人数是20岁以下网民人数的:
A.不到3倍
B.3-4倍之间
C.4-5倍之间
D.5倍以上
参考答案:C
解析:
根据题干“截至2022年12月······是······的”,结合材料时间为2022年12月,且选项为倍数,可判定本题为现期倍数问题。定位文字材料第二段可得:2022年12月,我国20-29岁、30-39岁、40-49岁网民占比分别为14.2%、19.6%和16.7%;50岁及以上网民群体占比由2021年12月的26.8%提升至30.8%。则截至2022年12月,我国20岁以上网民人数占比=14.2%+19.6%+16.7%+30.8%=81.3%,20岁以下网民人数占比=1-81.3%=18.7%,则题干所求
,在C项范围内。
故正确答案为C。
第107题 截至2022年12月,我国城镇网民规模同比增速约为:
A.1.2%
B.1.6%
C.2.0%
D.2.4%
参考答案:B
解析:
根据题干“截至2022年12月······同比增速约为”,可判定本题为一般增长率问题。定位文字材料第一段可得:截止2022年12月,我国网民规模约为10.67亿,较2021年12月新增网民约3549万。我国城镇网民规模约为7.59亿,农村网民规模约为3.08亿,较2021年12月增长约2371万。由于我国网民规模的同比增长量=城镇网民规模的同比增长量+农村网民规模的同比增长量,则2022年12月,我国城镇网民规模同比增长约3549-2371=1178万=0.1178亿。根据公式:增长率

。
故正确答案为B。
第108题 2019-2022年,当年12月我国城镇与农村互联网普及率同比增量相差在1个百分点以内的年份有几个?
A.1
B.2
C.3
D.4
参考答案:A
解析:根据题干“2019-2022年,当年12月······同比增量······”,可判定本题为增长量计算问题。定位统计图可知2018年12月-2022年12月我国城镇与农村互联网的普及率。根据公式:增长量=现期量-基期量,则2019-2022年,当年12月我国城镇与农村互联网普及率同比增量差值分别为:
2019年:
,不满足;
2020年:
,不满足;
2021年:
,满足;
2022年:
,不满足。
综上可知,2019-2022年,当年12月我国城镇与农村互联网普及率同比增量相差在1个百分点以内的年份仅有1个(2021年)。
故正确答案为A。
                            第109题
                            以下信息中,能够从上述资料中推出的有几项?
①2022年12月我国手机网民人数同比增量
②2021年12月我国线上办公用户占网民整体的比重
③2022年12月我国城镇地区互联网医疗用户规模
                        
A.0
B.1
C.2
D.3
参考答案:D
解析:
①定位文字材料第一段可得:截止2022年12月,我国网民规模约为10.67亿,较2021年12月新增网民约3549万;我国网民使用手机上网的比例达99.8%,较2021年12月增加0.1个百分点。根据公式:部分量=整体量×比重,增长量=现期量-基期量,可得题干所求=[10.67×99.8%-(10.67-0.3549)×(99.8%-0.1%)]亿,可以推出;
②定位文字材料第一段可得:截止2022年12月,我国网民规模约为10.67亿,较2021年12月新增网民约3549万;定位文字材料第三段可得:2022年12月,线上办公用户规模约达5.4亿,较2021年12月增加7078万户。根据公式:比重
,可得题干所求
,可以推出;
③定位文字材料第一段可得:截止2022年12月,我国农村网民规模约为3.08亿;定位文字材料第三段可得:2022年12月,互联网医疗用户规模约达3.63亿,农村地区互联网医疗用户占农村网民整体的21.5%。根据公式:部分量=整体量×比重,可得农村地区互联网医疗用户规模=(3.08×21.5%)亿,则题干所求=(3.63-3.08×21.5%)亿,可以推出。
综上可知,能够推出的有3项。
故正确答案为D。
                            第110题
                            以下柱状图中,最能准确反映2019年12月-2022年12月全国互联网普及率同比增量变化趋势的是(横轴位置代
表增量为0):
                        
A.
B.
C.
D.
参考答案:C
解析:根据题干“······最能准确反映2019年12月-2022年12月全国互联网普及率同比增量变化趋势的是······”,可判定本题为增长量比较问题。定位统计图可知2018年12月-2022年12月全国互联网普及率。根据公式:增长量=现期量-基期量,则2019年12月-2022年12月全国互联网普及率同比增量分别为:
2019年12月:64.5%-59.6%=4.9%,即同比增长4.9个百分点;
2020年12月:70.4%-64.5%=5.9%,即同比增长5.9个百分点;
2021年12月:73.0%-70.4%=2.6%,即同比增长2.6个百分点;
2022年12月:75.6%-73.0%=2.6%,即同比增长2.6个百分点。
观察可知,同比增量呈先上升再下降最后相等的趋势,且2020年12月与2019年12月同比增量仅相差1个百分点,与C项变化趋势一致。
故正确答案为C。
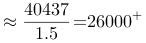
第111题 2019-2022年,中国锂电池年出货量超过全球锂电池年出货量一半的年份有几个?
A.1
B.2
C.3
D.4
参考答案:C
解析:定位统计表和统计图可知:2019-2022年全球锂电池出货量和中国各类型锂电池出货量。故各年份中国锂电池出货量分别为:2019年,9.5+36.5+71.0=117.0GWh;2020年,16.2+46.2+80.0=142.4GWh;2021年47.7+53.5+226.0=327.2GWh。定位文字材料第一段可知:2022年中国锂电池出货量658GWh。若想找出中国锂电池年出货量
的年份,则需找出中国锂电池年出货量×2>全球锂电池年出货量的年份。比较可知:2019年,117.0×2=234GWh>218GWh;2020年,142.4×2=284.8GWh<294.5GWh;2021年,327.2×2=654.4GWh>562.4GWh;2022年,658×2=1316GWh>957.7GWh。满足题意的有:2019年、2021年、2022年,共3个年份。
故正确答案为C。
第112题 以下锂电池出货量指标中同比增速最快的是:
A.2021年储能锂电池出货量
B.2021年动力锂电池出货量
C.2022年储能锂电池出货量
D.2022年动力锂电池出货量
参考答案:A
解析:
根据题干“······同比增速最快的是”,可判定本题为一般增长率问题。定位图形材料可得,2020-2022年储能锂电池出货量分别为16.2GWh、47.7GWh、130GWh,2020-2022年动力锂电池出货量分别为80GWh、226GWh、480GWh。根据公式:增长率
,则各选项同比增长率分别为:
2021年储能锂电池出货量:
;
2021年动力锂电池出货量:
;
2022年储能锂电池出货量:
;
2022年动力锂电池出货量:
;
观察发现,2021年储能锂电池出货量同比增速最快。
故正确答案为A。
第113题 2021年,全球动力锂电池装车量约为多少GWh?
A.271.5
B.295.6
C.301.4
D.323.6
参考答案:C
解析:根据题干“2021年······约为多少GWh”,结合材料时间为2022年,可判定本题为基期计算问题。定位文字材料可得:2022年中国动力锂电池装车量达294.6GWh,同比增长90.7%,高于全球同比增速18.9个百分点,占全球动力锂电池装车量的56.9%。根据公式:整体
,则2022年全球动力锂电池装车量为
GWh。根据公式:基期量
,结合2022年全球动力锂电池装车量同比增速为90.7%-18.9%=71.8%,则题干所求为
GWh,与C项最接近。
故正确答案为C。
A.1
B.2
C.3
D.4
参考答案:C
解析:
①定位统计图可得,2019年中国储能锂电池、数码锂电池、动力锂电池出货量分别为9.5GWh、36.5GWh、71.0GWh;2022年三者出货量分别为130.0GWh、48.0GWh、480.0GWh。根据年均增长率公式:
,当年份差n相同时,直接比较
即可。储能锂电池:
;数码锂电池:
;动力锂电池:
,比较可得储能锂电池出货量年均增速最快,正确;
②定位文字材料可得,2022年中国锂电池出货量658GWh;定位统计图可得2019-2021年中国锂电池出货量。2019-2022年中国锂电池出货量分别为:9.5+36.5+71.0=117GWh、16.2+46.2+80.0=142.4GWh、47.7+53.5+226.0=327.2GWh、658GWh。比较可得2019-2022年,中国锂电池出货量逐年增加,正确;
③定位统计图可得2019-2022年中国数码锂电池年出货量,但材料未给出2018年相关数据,无法计算2019年同比增速,故无法判断2020年的增速是否较2019年下降,错误;
④定位统计表可得,2020-2022年中国新能源汽车产量分别为146万辆、368万辆、722万辆。比较增速大小时,当
,可直接比较
,则2021年:
;2022年:
。即2022年中国新能源汽车产量同比增速慢于2021年水平,正确。
综上所述,说法正确的有3个。
故正确答案为C。
                            第115题
                            以下饼图中,最能准确反映2022年中国锂电池出货量中,储能锂电池、数码锂电池和动力锂电池占比关系的
是:
(黑色:储能锂电池 白色:数码锂电池 斜杠:动力锂电池)
                        
A.
B.
C.
D.
参考答案:D
解析:根据题干“······最能准确反映2022年······占比关系的是”,结合材料时间为2022年,可判定本题为现期比重问题。定位统计图可得:2022年中国储能锂电池出货量为130.0GWh,数码锂电池出货量为48.0GWh,动力锂电池出货量为480.0GWh;定位文字材料可得:2022年中国锂电池出货量658GWh。根据公式:比重
,则在2022年中国锂电池出货量中,动力锂电池出货量占比
,A项中动力锂电池出货量占比为75%,C项中超过75%,排除A、C两项;储能锂电池出货量(130.0GWh)是数码锂电池出货量(48.0GWh)的2倍多,B项两部分占比相近,排除B项,D项当选。
故正确答案为D。
第116题 2023年1-5月,天津口岸出口汽车均价同比上涨为:
A.8%
B.12%
C.16%
D.20%
参考答案:A
解析:根据题干“2023年1-5月······均价同比上涨为”,结合选项为百分数,可判定本题为平均数的增长率问题。定位文字材料第一段可得:2023年前5个月,天津口岸出口汽车约17.2万辆,同比增长29.5%(b),总价值约100.1亿元人民币,同比增长40.2%(a)。根据公式:平均数的增长率
,则2023年1-5月,天津口岸出口汽车均价同比上涨
,结合选项,只有A项满足。
故正确答案为A。
第117题 2023年1~5月,民营企业出口汽车同比约增加了多少万辆?
A.3
B.4
C.5
D.6
参考答案:B
解析:
根据题干“······同比约增加了多少万辆”,可判定本题为增长量计算问题。定位文字材料第二段可得:2023年1~5月,民营企业出口汽车约10.6万辆,同比增长64.3%。根据公式:增长量
,则题干所求

万辆。
故正确答案为B。
第118题 2022年1~5月,天津口岸出口新能源汽车约占天津口岸出口汽车的:
A.46%
B.50%
C.55%
D.64%
参考答案:C
解析:
根据题干“2022年1~5月······占······”,结合材料时间为2023年前5个月,可判定本题为基期比重问题。定位文字材料第一段可知:2023年前5个月,天津口岸出口汽车约17.2万辆(B),同比增长29.5%(b)。定位文字材料第二段可知:2023年前5个月,天津口岸出口新能源汽车约11万辆(A),同比增长50.2%(a)。根据公式:基期比重
,
则所求比重
≈64%×0.86≈55%
故正确答案为C。
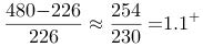
第119题 2023年1~5月,天津口岸出口汽车平均单价同比增长率最大的月份是:
A.1月
B.2月
C.4月
D.5月
参考答案:B
解析:
根据题干“······平均单价同比增长率最大······”,可以判定本题为平均数的增长率问题。定位表格可得2023年1~5月天津口岸汽车出口值的同比增速(a)和出口车辆数的同比增速(b),根据公式:平均数的增长率
,则2023年1~5月天津口岸出口汽车平均单价同比增长率分别为:
1月
;
2月
;
4月
;
5月
。
比较可知,2023年1~5月天津口岸出口汽车平均单价同比增长率最大的月份是2月。
故正确答案为B。
A.1
B.2
C.3
D.4
参考答案:C
解析:①:定位统计表可知2023年1~5月各月天津口岸出口车辆数及其同比增速。根据公式:基期量
,则:
2022年1月天津口岸出口车辆数
辆;
2022年2月天津口岸出口车辆数
辆;
2022年3月天津口岸出口车辆数
辆;
2022年4月天津口岸出口车辆数
辆;
2022年5月天津口岸出口车辆数
辆。
比较发现2022年1~5月,天津口岸汽车出口量最大的是5月,错误;
②:定位文字材料第二段可知,2023年前5个月······民营企业出口约10.6万辆。根据月均
,则
2023年1~5月,民营企业月均通过天津口岸出口汽车数量
万辆,正确;
③:定位统计表可知,2023年1月天津口岸出口车辆29105辆,车辆出口值151198.7万元;2月天津口岸出口车辆22785辆,车辆出口值161250.2万元。根据公式:平均单价
,则1月出口单价
,2月出口单价
,由于前者的分子小且分母大,因此分数较小,即2023年2月,天津口岸出口汽车平均单价高于1月水平,正确;
④:定位文字材料第二段可知,2023年前5个月······汽车出口占同期天津口岸出口商品总值的2.2%,较上年同期提升0.3个百分点。则2022年1~5月,汽车出口总价值占天津口岸出口商品总值的2.2%-0.3%=1.9%<2%,正确。
综上所述,能够从上述资料中推出的有②③④,共3项。
故正确答案为C。