“微信扫一扫”进入考试题库练习及模拟考试
A.A.非关键线路上无关键工作
B.B.关键工作的持续时间最长
C.C.计划工期等于计算工期时,关键工作无机动时间
D.D.计划工期大于计算工期时,关键工作自由时差大于零
参考答案:C
解析:
| 9 | 总时差 | 在不影响总工期的前提下,本工作可以利用的机动时间(迟-早) |
| 10 | 自由时差 | 在不影响其紧后工作最早开始时间的前提下,本工作可以利用的机动时间(早-早) |
⒍确定关键工作和关键线路
在网络计划中,总时差最小的工作为关键工作。
当网络计划的计划工期等于计算工期时,总时差为零的工作就是关键工作。找出关键工作之后,将这些关键工作首尾相连,便构成从起点节点到终点节点的通路,位于该通路上各项工作的持续时间总和最大,这条通路就是关键线路。
【考点来源】【进度】第三章 网络计划技术第三节 网络计划时间参数的计算
A.A.标准化导向
B.B.符合性
C.C.合格性
D.D.成熟度
参考答案:D
解析:
四、《卓越绩效评价准则》与ISO9000的比较
㈡不同点
| 卓越绩效模式 | ISO 9000 | |
| 导向 | 战略导向 | 标准化导向 |
| 驱动力 | 市场竞争 | 市场准入 |
| 评价方式 | 成熟度评价 | 符合性评审 |
【考点来源】【质量】第二章 ISO质量管理体系及卓越绩效模式 第三节 卓越绩效模式
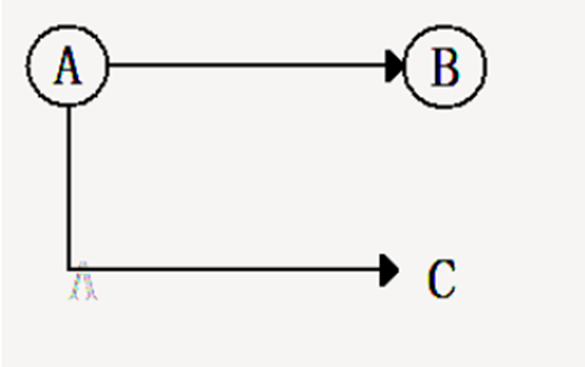
A.

B.

C.

D.

参考答案:A
解析:
B无节点编号,C无箭头连线,D节点编号表示方法错误。
一、双代号网络图的绘制
⑷网络图中严禁出现双向箭头和无箭头的连线。
⑸网络图中严禁出现没有箭尾节点的箭线和没有箭头节点的箭线。
【考点来源】【进度】第三章 网络计划技术第二节 网络图的绘制
第44题
钻孔桩桩长的计费一般采用()方法。
A.断面法
B.图纸法
C.估价法
D.分解计量法
参考答案:A
解析:
一般可按照以下方法进行计量:
| ⑴均摊法;⑵凭据法;⑶估价法;⑷断面法 | |
| ⑸图纸法 | 混凝土构筑物的体积,钻孔桩的桩长等 |
| ⑹分解计量法 | |
【考点来源】【投资】第七章 建设工程施工阶段投资控制第二节工程计量
第45题
影响工程进度的因素中,出现复杂的过程地质条件属于()影响因素
A.业主面
B.施工技术
C.勘察设计
D.自然环境
参考答案:D
解析:
二、影响进度的因素分析
影响建设工程进度的不利因素有很多,其中,人为因素是最大的干扰因素。
在工程建设过程中,常见的影响因素如下八方面:
| ①业主因素 | 如业主使用要求改变而进行设计变更;应提供的施工场地条件不能及时提供或所提供的场地不能满足工程正常需要;不能及时向施工承包单位或材料供应商付款等 |
| ②勘察设计因素 | 如勘察资料不准确,特别是地质资料错误或遗漏;设计内容不完善,规范应用不恰当,设计有缺陷或错误;设计对施工的可能性未考虑或考虑不周;施工图纸供应不及时、不配套,或出现重大差错等 |
| ③施工技术因素 | 如施工工艺错误;不合理的施工方案;施工安全措施不当;不可靠技术的应用等 |
| ④自然环境因素 | 如复杂的工程地质条件;不明的水文气象条件;地下埋藏文物的保护、处理;洪水、地震、台风等不可抗力等 |
【考点来源】【进度】第一章建设工程进度控制概述 第一节 建设工程进度控制的概念
第46题
编制物资申请订货计划依据()。
A.市场加工能力
B.市场供应信息
C.有关供应政策法令
D.物资*量**计文件
参考答案:C
解析:
⒋申请、订货计划的编制
编制依据:有关材料供应政策法令、预测任务、概算定额、分配指标、材料规格比例和供应计划。
【考点来源】【进度】第六章 建设工程施工阶段的进度控制第六节 物资供应进度控制
第47题 加强过程和中间产品的质量检查与控制,体现了质量管理中的()原则。
A.持续改进
B.预防为主
C.以人为核心
D.以合同为依据
参考答案:B
解析:坚持预防为主的原则:要重点做好质量的事前控制和事中控制,以预防为主,加强过程和中间产品的质量检查和控制。
第48题 工程施工合同履行中,监理工程师有可能批准施工单位的工期索赔是 ()。
A.设计变更造成施工进度拖后
B.劳动力安排不当造成施工进度拖后
C.施工机械故障造成施工进度拖后
D.施工质量检查不合格造成施工进度拖后
参考答案:A
解析:(.*));/)
第49题 在工程网络计划中,关于计划工期的说法,正确的是()
A.当有要求工期时,计划工期不大于要求工期
B.当未规定要求工期时,计划工期可小于计算工期
C.根据网络计划确定计划工期时,计划工期须等于计算工期
D.根据网络计划确定计划工期时,可不考虑要求工期
参考答案:A
解析:(.*));/)
第50题 工程网络计划资源优化的目标是()
A.工期固定条件下寻求资源均衡
B.工期固定条件下寻求资源需求最小
C.资源供应充足条件下寻求最短工期
D.寻求资源需求最小时的工期安排
参考答案:A
解析:(.*));/)
A.建立进度数据采集系统
B.收集实际进度数据
C.分析进度偏差产生的原因
D.实际进度与计划进度的对比分析
参考答案:C
解析:(.*));/)
第52题 监理工程师编制的施工进度控制工作细则应包含的内容是()
A.工程延期审批工作程序
B.与进度控制有关的工作流程
C.工期延误处置措施
D.工程材料设备检验计划
参考答案:B
解析:(.*));/)
第54题 某项目年初向银行借款1000万元,年利率3%,按年复利计息,从借款年当年末起连续3年末等额还本付息,则每年末应偿还的金额为()万元
A.343
B.344
C.353
D.364
参考答案:C
解析:(.*));/)
第55题 某项目预计年经营成本为3000万元,年外购原材料、燃料或服务费用为2000万元,年预付各类原材料、燃料或服务费为1200万元,年应收账款周转次数4次,则该项目应收账款估算金额为()
A.450
B.500
C.750
D.800
参考答案:C
解析:(.*));/)
第56题 某招标工程,发包人拟将其中的专业工程甲依法单独发包,但施工过程中由承包人统一提供协调和配合服务,则承包人投标报价时应将该服务费用列入()
A.总承包服务费
B.计日工费
C.专业工程暂估价
D.措施项目费
参考答案:A
解析:(.*));/)
第57题 因发包人提供图纸有误,导致项目费用增加和工期延误时,监理人处理承包人索赔的正确做法是()。
A.批复增加的费用,不批复延误的工期和利润补偿
B.批复延误的工期,不批复增加的费用和利润补偿
C.批复增加的费用和延误的工期,不批复利润补偿
D.批复增加的费用、延误的工期和利润补偿
参考答案:D
解析:(.*));/)
第58题 为有效控制工程设计进度,需要工程设计单位进行的工作是()
A.编制设计出图计划
B.编制设计任务书
C.编制设计进度控制工作细则
D.编制设计工作量清单
参考答案:A
解析:(.*));/)
第59题 在项目可行性研究阶段,建设方案研究和比选应包括的内容是()
A.工艺技术和主要设备方案
B.项目监理工作方案
C.项目施工组织设计
D.危大工程施工应急预案
参考答案:A
解析:(.*));/)
第60题 关于建筑工程施工质量验收层次划分的说法,正确的是()。
A.隐蔽工程是分部工程的组成部分
B.检验批由分项工程组成
C.分部工程是按专业性质和工程部位划分的
D.检验批质量验收项目均为主控项目
参考答案:C
解析:(.*));/)