“微信扫一扫”进入"可可试卷"微信小程序刷题
第1601题 某研究项目,通过抽样调查来了解我国住宿业固定投资??投资完成额是,
A.总体参数,
B.样本统计量
C.样本
D.总体
参考答案:A
解析:
考核第25章。本题不太完整,调查的是固定投资,所以投资完成额应该是总体参数。
第1602题
下列商品中,必须申请商标注册并被核准后才能在市场销售的是( )。
A.生鲜食品
B.汽车制品
C.烟草制品
D.卫生用品
参考答案:C
解析:
本题考查商标权。
法律、行政法规规定必须使用注册商标的商品,必须申请商标注册,未经核准注册的,不得在市场销售。所谓必须注册的商品,是指与人民生活关系比较密切,直接涉及人民健康的极少数商品,即人用药品和烟草制品,以及由国务院工商行政管理部门公布的必须使用注册商品的其他商品。
生鲜食品不属于人用药品和烟草制品,A项不正确。
汽车制品不属于人用药品和烟草制品,B项不正确。
烟草制品必须申请注册,C项正确。
卫生用品不属于人用药品和烟草制品,D项不正确。
故此题正确答案为C。
第1603题
下列现金收支业务中,属于“经营活动产生的现金流量”的是( )。
A.处置固定资产收到现金
B.股东投入资本存入银行
C.收到银行贷款存入银行
D.销售商品收到现金
参考答案:D
解析:
本题考查现金流量表。
现金流量表中的经营活动现金流入和流出各项目,共包括“销售商品、提供劳务收到的现金”项目、“收到的税费返还”项目、“收到其他与经营活动有关的现金”项目、“购买商品、接受劳务支付的现金”项目、“支付给职工以及为职工支付的现金”项目、“支付的各项税费”项目和“支付其他与经营活动有关的现金”等。
处置固定资产收到现金属于投资活动,A项不正确。
销售商品收到现金属于经营活动产生的现金流量,D项正确。
股东投入资本和收到银行贷款均属于筹资活动,BC项不正确。
故此题正确答案为D。
第1604题
会计上把在单位内部发生的具有经济影响的各类事件称为( )。
A.会计假设
B.经济事项
C.经济业务
D.会计核算
参考答案:B
解析:
本题考查会计核算的具体内容。
凡是特定主体能够以货币表现的经济活动,都是会计核算的内容,也称为经济业务事项。经济业务指单位与其他单位和个人之间发生的各种经济利益的交换,经济事项是指在单位内部发生的具有经济影响的各类事项,如支付职工工资、报销差旅费、计提折旧等。这些经济业务事项就是会计核算的具体内容。
经济事项符合题干所述,B项正确。
会计假设、经济业务、会计核算均不符合题干,ACD项错误。
故此题正确答案为B。
第1605题
以边际消费倾向递减规律为假设的消费理论是( )。
A.弗里德曼的消费理论
B.莫迪利安尼的消费理论
C.科斯的消费理论
D.凯恩斯的消费理论
参考答案:D
解析:
本题考查消费理论。
凯恩斯从心理学角度考查了消费倾向的变动规律,提出“边际消费倾向递减规律”,即随着人们收入的增长,人们的消费随之增长;但消费支出在收入中所占比重却不断减少。
弗里德曼的消费理论是持久收入理论,A项错误。
莫迪利安尼的消费理论是生命周期消费理论,B项错误。
科斯的消费理论书中未提及,C项错误。
故此题正确答案为D。
第1606题
下列财务,以指标中能够反映企业盈利能力的是( )。
A.资产负债率
B.应收账款周转率
C.营业利润率
D.流动比率
参考答案:C
解析:
本题考查财务报表分析的基本指标。根据“盈利”和“利润率”的关系,可选择C项。
财务报表分析的基本指标可以从不同的角度进行不同的划分,重点包括偿债能力分析、营运能力分析和盈利能力等基本指标。其中偿债能力分析的指标包括流动比率、速动比率、现金比率、资产负债率、产权比率和已获利息倍数。
资产负债率属于偿债能力分析指标,A项错误。
应收账款周转率属于营运能力分析指标,B项错误。
营业利润率属于盈利能力分析,C项正确。
流动比率属于偿债能力分析,D项错误。
故此题正确答案为C。
第1607题
不动产物权的具体内容发生变化时进行的登记称为( )。
A.转移登记
B.变更登记
C.预告登记
D.更正登记
参考答案:B
解析:
本题考查不动产登记制度。
不动产登记的类型主要包括:首次登记、变更登记、转移登记、注销登记、更正登记和异议登记、预告登记和查封登记等。
转移登记是指不动产物权发生权利转移时所进行的不动产登记,A项错误。
不动产物权的具体内容发生变化时进行的登记属于变更登记,B项正确。
预告登记是指在当事人所期待的不动产物权变动所需要的条件缺乏或者尚未成就时,法律为保护这一请求权而为其进行的登记,C项错误。
权利人、利害关系人认为不动产登记簿记载的事项错误的,可以申请更正登记,D项错误。
故此题正确答案为B。
A.103%
B.101.11%
C.154%
D.100%
参考答案:A
解析:
本题考查盈利能力分析。
资本保值增值率=期末所有者权益/期初所有者权益
期初所有者权益=10500+1000+2000+500=14000万元
期末所有者权益=10500+1050+2100+770=14420万元
资本保值增值税=14420/14000*100%=103%
故此题正确答案为A。
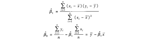
第1609题
回归模型
的最小二乘估计量表达式是()。
A.

B.

C.

D.此项不全,请根据其他三项选出正确答案
参考答案:A
解析:
本题考查最小二乘法。
下图为最小二乘法的计算公式,A选项正确,BCD选项为干扰项。
故本题正确答案为A选项。

【说明:现题库中的真题为了保持题目原样,让大家感受真题的出题思路,并没有对不全的选项或题干进行主观改编,所以这样的不完整的题依然保留,是有练习价值的,感谢大家的反馈。】
第1610题
关于税负向后转嫁的说法,正确的是( )。
A.后转是在商品交易后发生
B.后转是预期历次累计税款的一次性转嫁
C.纳税人通过抬高购入商品或生产要素进价的方式进行的
D.后转借助的是一般消费品
参考答案:D
解析:
本题考查税负转嫁的方式。
后转是纳税人通过压低购入商品或者生产要素进价的方式,将其缴纳的税收转给商品或者生产要素供给者的一种税负转嫁。①税负后转借助的是一般消费品,而税收资本化借助的是资本品;②税负后转是在商品交易时发生的一次性税款的一次性转嫁,税收资本化是在商品交易后发生的预期历次累计税款的一次性转嫁。
后转是在商品交易后发生,错了,应该是在商品交易时发生,A项错误。
后转是一次性税款的一次性转嫁,B项错误。
纳税人通过压低购入商品或生产要素进价的方式进行的,C项错误。
后转借助的是一般消费品,D项正确。
故此题正确答案为D。
第1611题
关于质权的说法,错误的是( )。
A.质权设定必须移转占有
B.质权具有从属性
C.质权既可以适用于动产也可适用于不动产
D.质权具有物上代位性
参考答案:C
解析:
本题考查质权。
质权设定必须移转占有,A项正确。
质权具有从属性,B项正确。
质权的标的物包括动产和权利,不包括不动产,C项错误。
质权具有物上代位性,D项正确。
题干要求选择错误选项,故此题正确答案为C。
第1612题
反垄断执法机构调查涉嫌垄断行为,不能采取的措施是( )。
A.进入被调查的经营者的营业场所或者其他有关场所进行检查
B.询问被调查的经营者、利害关系人或者其他有关单位或者个人,要求其说明有关情况
C.冻结经营者的银行账户
D.查封、扣押相关证据
参考答案:C
解析:
本题考查反垄断机构设置。
反垄断执法机构调查涉嫌垄断行为,可以采取下列措施:
(1)进入被调查的经营者的营业场所或者其他有关场所进行检查;
(2)询问被调查的经营者、利害关系人或者其他有关单位或者个人,要求其说明有关情况;
(3)查阅、复制被调查的经营者、利害关系人或者其他有关单位或者个人的有关单证、协议、会计账簿、业务函电、电子数据等文件、资料;
(4)查封、扣押相关证据;
(5)查询经营者的银行账户。
【注】采用上述规定的措施,应当向反垄断执法机构主要负责人书面报告,并经批准。
进入被调查的经营者的营业场所或者其他有关场所进行检查,A项正确。
询问被调查的经营者、利害关系人或者其他有关单位或者个人,要求其说明有关情况,B项正确。
冻结经营者的银行账户错误,只能是查询,C项不正确。
查封、扣押相关证据,D项正确。
故此题正确答案为C。
第1613题
经济学家庇古提出了关于货币需求的剑桥方程式,该方程式认为( )。
A.恒久性收入越高,所需货币越多
B.货币供求的速度决定物价水平
C.货币供求的数量决定货币价值
D.“流动性偏好”决定货币需求
参考答案:C
解析:
本题考查货币需求。
庇古方式是认为货币供求的数量决定货币价值。
恒久性收入越高,所需货币越多,属于弗里德曼的现代货币数量说,A项错误。
货币供求的速度决定物价水平不属于剑桥方程式的理论,B项错误。
货币供求的数量决定货币价值,属于剑桥方程式,C项正确。
流动性偏好理论是凯恩斯的,不属于剑桥方程式,D项错误。
故此题正确答案为C。
第1614题
通货膨胀的基本标志是( )。
A.失业率上升
B.物价上涨
C.贸易逆差
D.经济增长速度下降
参考答案:B
解析:
本题考查通货膨胀的概念。
多种通货膨胀的定义有两点是共同的:(1)有效需求大于有效供给;(2)物价持续上涨—通货膨胀的基本标志。
所以,通胀的基本标志是物价上涨。B正确,ACD错误。
故此题正确答案为B。
第1615题
关于再贴现政策的说法,正确的是( )。
A.如果没有法定存款准备金率政策配合,再贴现政策就无法发挥作用
B.与法定存款准备金率比较,再贴现工具的弹性相对较大,作用力度相对要缓和一些
C.再贴现政策对货币乘数的影响很大,作用力度很强
D.再贴现政策是否能够获得预期效果与商业银行是否主动配合无关
参考答案:B
解析:
本题考查货币政策工具。
①含义:是指商业银行持客户贴现的商业票据向中央银行请求贴现,以取得中央银行的信用支持。
②再贴现政策的基本内容是中央银行根据政策需要调整再贴现率。当中央银行提高再贴现率时,商业银行借入资金的成本上升,基础货币得到收缩;反之亦然。与法定存款准备金率比较,再贴现工具的弹性相对较大,作用力度相对要缓和一些。由于商业银行还有出售证券、发行存单等融资方式,所以再贴现政策的主动权操纵在商业银行手中,该政策是否能够获得预期效果,还取决于商业银行是否采取主动配合态度。
如果没有法定存款准备金制度配合公开市场操作就无法发挥作用,A项错误。
与法定存款准备金率比较,再贴现工具的弹性相对较大,作用力度相对要缓和一些,B项正确。
法定存款准备金率对货币乘数的影响很大,作用力度很强,往往被当作是一剂“猛药”。C项错误。
再贴现政策主动权操纵在商业银行手中,所以中央银行的再贴现政策是否能够获得预期效果,还取决于商业银行是否采取主动配合态度。D项错误。
故此题正确答案为B。
第1616题
对于缔约过失责任的说法,正确的是( )。
A.缔约过失责任人主观上没有过错
B.缔约过失责任是一方违反诚实信用原则而产生的一种民事责任
C.构成缔约过失责任不要求造成他方实际损失
D.缔约过失责任可以发生在合同成立之后
参考答案:B
解析:
本题考查合同的订立。
缔约过失责任,发生在合同成立前,是指在合同订立过程中,因一方当事人的过失给对方造成损失所应承担的民事责任。
缔约过失责任人主观上有过错,A项错误。
缔约过失责任是一方违反诚实信用原则而产生的一种民事责任,B项正确。
构成缔约过失责任要求造成他方实际损失,C项错误。
缔约过失责任发生在合同成立之前,D项错误。
故此题正确答案为B。
第1617题
关于生产和生产函数的说法,正确的是( )。
A.当技术水平发生变化时生产函数不会发生变化
B.研究企业短期行为的前提是各种投入要素都是可变的
C.生产函数是最大产量与投入要素之间的函数关系
D.一般假设生产要素在生产过程中不可相互替代
参考答案:C
解析:
本题考查生产函数。
生产函数表示一定时期内,在技术不变的情况下,生产中所使用的各种生产要素的数量与所能生产的最大产量之间的函数关系。生产函数是生产要素投入量和产品产出量之间的关系。所有企业都有生产函数。生产函数是最大产量与投入要素之间的函数关系,这是为了使企业的生产函数具有可靠性,体现企业将一定的投入转变成产出的能力。
当技术水平发生变化时生产函数也会发生变化,A项错误。
研究企业短期行为的前提是部分生产要素是不能改变的,B项错误。
生产函数是最大产量与投入要素之间的函数关系,C项正确。
一般假设生产要素在生产过程中可相互替代,D项不正确。
故此题正确答案为C。
第1618题
我国农业普查的频率是( )。
A.每10年一次
B.每年两次
C.每10年两次
D.每年一次
参考答案:A
解析:
本题考查统计调查的方式。
①经济普查每10年进行2次,逢年份末尾数字为3、8的年份实施
②人口普查每10年进行1次,逢“0”年份实施;
③农业普查每10年进行1次,逢“6”年份实施。
我国的农业普查每10年一次,A项正确。
我国的农业普查不是每年两次,B项不正确。
我国的农业普查不是每十年两次,C项不正确。
我国的农业普查不是每年一次,D项不正确。
故此题正确答案为A。
第1619题
下列变量中,属于分类变量的是( )。
A.运输方式
B.公共预算收入
C.商品零售额
D.新增就业人数
参考答案:A
解析:
本题考查变量与数据。
分类变量的观测结果称为分类数据,表现为类别,一般用文字来表述。数值型数据是对定量变量的观测结果,其取值表现为具体的表示大小或多少数值。
运输方式属于分类变量,A项正确。
公共预算收入属于定量变量,B项不正确。
商品零售额属于定量变量,C项不正确。
新增就业人数属于定量变量,D项不正确。
故此题正确答案为A。
第1620题
借贷记账法的记账规则是( )。
A.有收必有付,收付必相等
B.有借必有贷,借贷必相等
C.收支平衡,略有结余
D.资产同增,负债同减
参考答案:B
解析:
本题考查会计记录的方法。
借贷记账法的记账规则是有借必有贷,借贷必相等。
有收必有付,收付必相等,不是借贷记账法的记账规则,A项错误。
有借必有贷,借贷必相等,B项正确。
收支平衡,略有结余,不是借贷记账法的记账规则,C项错误。
资产同增,负债同减,不是借贷记账法的记账规则,D项错误。
故此题正确答案为B。