“微信扫一扫”进入"可可试卷"微信小程序刷题

2023学年小学数学六年级上册期末试卷(11套)(410题)


第281题

直接写出得数。




参考答案:1/3


第282题

直接写出得数。




参考答案:2


第283题

直接写出得数。




参考答案:1/11


第284题

直接写结果:


2.8×



参考答案:3.5


第285题

直接写结果:


=



参考答案:14


第286题

直接写结果:


0.75÷=



参考答案:1


第287题

直接写结果:




参考答案:0


第288题

直接写结果:




参考答案:27/16


第289题

直接写结果:


3-



参考答案:2


第290题

直接写结果:




参考答案:2.1


第291题

直接写结果:




参考答案:1/25


第292题

用简便方法计算:


26-



参考答案:5


解析:


第293题

用简便方法计算:


85



参考答案:↓


解析:


第294题

脱式计算:


10÷-×4



参考答案:↓


解析:


第295题

脱式计算:




参考答案:3/5


解析:


第296题

脱式计算:




参考答案:3/10


解析:


第297题

脱式计算:




参考答案:↓


解析:


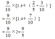
第298题

解方程:




参考答案:↓


解析:


第299题

解方程:




参考答案:↓


解析:


第300题 5立方米15立方分米=( )立方米



参考答案:5.015


进入题库练习及模拟考试