“微信扫一扫”进入"可可试卷"微信小程序刷题
某项目部承担了一项强度等级为C40 的现浇大体积钢筋混凝土结构的施工任务,技术员根据相关技术要求进行了配合比设计,并获得了监理工程师的批准,见下表。

该结构在夏季进行施工,拌合站配置的拌合机每盘搅拌量为2m3,混凝土由罐车运输,吊罐入模。为了控制大体积混凝土温度裂缝的产生,项目部对本混凝土结构的施工进行了温控设计,确定用冷水拌合,拌合站拌制的混凝土拌合物在出料口的温度可以达到要求,同时还采取了其他控制混凝土浇筑温度的措施。施工过程中,某一班次拌制混凝土前,试验员对骨料的含水率进行了检测,测得粗骨料含水率为1.5%,细骨料含水率为 2.5%。技术员据此检测结果按配合比计算拌合料的配料数量,确定了每一盘混凝土各种原材料的称量示值,保证了混凝土拌合物的数量准确。该结构的混凝土立方体28d 抗压强度验收批试件共有 6 组,这 6 组混凝土立方体试件抗压强度试验结果见下表。

问题:
(1)写出混凝土配制的基本要求。
(2)计算上述班次拌制一盘混凝土所需各种原材料称量示值。(计算结果取两位小数)
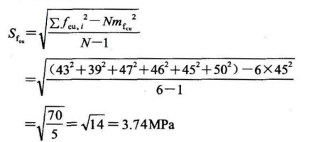
(3)计算 6 组试件的 28d 抗压强度标准差。(计算结果四舍五入取两位小数)
(4)该大体积混凝土施工中,可选择的控制混凝土浇筑温度施工措施还有哪些?
参考答案:↓
解析:
(1)混凝土配置的基本要求有:
1)强度、耐久性符合设计要求。
2)可操作性要满足施工操作要求。
3)应经济、合理。
(2)
1)水泥:305×2 = 610.0kg
2)粉煤灰:61×2 = 122.0kg
3)膨胀剂:41×2 = 82.0kg
4)减水剂:2.23×2 = 4.46kg
5)砂:758×1.025×2 = 1553.90kg
6)大石:741×1.015×2 = 1504.23kg
7)小石:317×1.015×2 = 643.51kg
8)水:175×2-758×0.025×2(741+317)×0.015×2=350-37.90-31.74=280.36kg
(3)6 组立方体抗压计试件标准差计算:
1)各组试件强度的代表值 fcu, i 分别为:
第一组:(42.5 + 42.0 + 44.5)÷3 = 43MPa
第二组:因45.1 > 1.15×39 = 44.85,故代表值为 39.0MPa
第三组:(46.3 + 44.3 + 50.4)÷3 = 47MPa
第四组:(47.3 + 44.3 + 46.4)÷3 = 46MPa
第五组:(42.9 + 43.2 + 48.9)÷3 = 45MPa
第六组:(48.6 + 49.6 + 51.8)÷3 = 50MPa
2)6 组试件的抗压强度平均值 mfcu 为
(43 + 39 + 47 + 46 + 45 + 50)÷6 = 45MPa
3)标准差为:

(4)
控制混凝土浇筑温度的措施还有:
1)选择气温较低的时段施工。
2)提高混凝土浇筑能力,缩短暴露时间。
3)对混凝土运输设备遮阳。
4)进行舱面降温。