“微信扫一扫”进入"可可试卷"微信小程序刷题

执业药师《药学专业知识一》历史真题(1317题)


A.

B.

C.

D.

E.

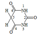
磺酰脲类降糖药的母核结构是


A.A

B.B

C.C

D.D

E.E


知识点:2023年执业药师 药学专业知识一 真题


参考答案:B


解析:

本题考查药物结构中常见的化学骨架及名称。

进入考试题库